\begin{document}
\begin{equation}
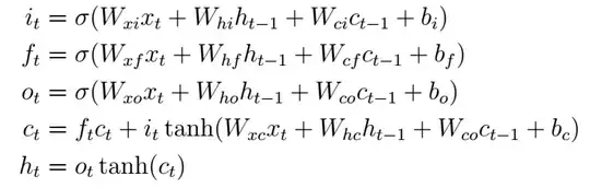
i_{t}=$ \sigma $ (W_{xi}x_{t}+W_{hi}h_{t-1}+W_{ci}c_{t-1}+b_{i}) %This line generates error
f_{t}=$ \sigma $ (W_{xf}x_{t}+W_{hf}h_{t-1}+W_{cf}c_{t-1}+b_{f})
o_{t}=$ \sigma $ (W_{xo}x_{t}+W_{ho}h_{t-1}+W_{co}c_{t-1}+b_{o})
c_{t}=f_{t}c_{t}+i_{t}tanh(W_{xc}x_{t}+W_{hc}h_{t-1}+W_{co}c_{t-1}+b_{c})
h_{t}=o_{t}tanh(c_{t})
\end{equation}
\end {document}
I got trouble like this:
Display math should end with $$. ^^Ii_{t}=$

$is used for inline math in the text. You have and equation which is display math. Those two should not be mixed. – daleif May 09 '21 at 15:46