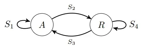
I am at the very beginning stage of Latex drawing using tikz. I am trying to draw a diagram like this

The MWE that I tried is nowhere near the desired output.
\documentclass{article}
\usepackage{tikz}
\title{Diagram}
\begin{document}
\maketitle
\begin{tikzpicture}
\draw circle(.5)--(-4,5);
\end{tikzpicture}
\end{document}
Please help.
