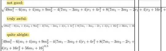
There are so many options.
You can try to rearrange the expression under the root
to make it shorter, if possible, for example like in this particular case
a shorter equivalent is
$S=\sqrt{(3m_2+7m_1-2r_1+4r_2+4)^2-24m_2(2m_1+2r_2-r_1+2)}$
or just use an extra symbol, like
$S=\sqrt{T},$
where $T=\dots$
Or omit the root completely, presenting the expression as a square:
$S^2=\dots$
MWE:
\documentclass[10pt,a4paper]{article}
\usepackage[utf8]{inputenc}
\usepackage[T1]{fontenc}
\usepackage{amsmath}
\usepackage{amsfonts}
\usepackage{amssymb}
\begin{document}
\begin{align}
S&=\sqrt{(3m_2+7m_1-2r_1+4r_2+4)^2-24m_2(2m_1+2r_2-r_1+2)}
\end{align}
\begin{align}
S&=\sqrt{T}
,\
\text{where }\quad
T&=
49m_1^2 - 6(m_1 + 4)m_2 + 9m_2^2
\
&- 4(7m_1 - 3m_2 + 4)r_1 + 4r_1^2 \nonumber
\
&+ 8(7m_1 - 3m_2 - 2r_1 + 4)r_2 \nonumber
\
&+ 16r_2^2 + 56m_1 + 16 \nonumber
.
\end{align}
\begin{align}
S^2&=
49m_1^2 - 6(m_1 + 4)m_2 + 9m_2^2
\
&- 4(7m_1 - 3m_2 + 4)r_1 + 4r_1^2 \nonumber
\
&+ 8(7m_1 - 3m_2 - 2r_1 + 4)r_2 \nonumber
\
&+ 16r_2^2 + 56m_1 + 16 \nonumber
.
\end{align}
\end{document}
