I know this is an old question, and I do not want to necro-bump it. However, I feel like the given answers somewhat misses the point. Yes, if you have to keep everything in a single equation, multiline is the way to go. But do you really have to? I can only think of a few circumstances.
- I am submitting to a journal and I am really tight on space
- I am working on a two or three?! column document and are tight on space.
In any other circumstance I would recommend rewriting the surrounding text, which will make it more bearable for the reader to digest as well. One suggestion could look like

Where X and Y needs to be given better names depending on the contect. It looks like you are running some two dimensional iteration scheme, but without context it is hard to suggest better names.
While a minor detail look how nicely everything is aligned in the top two equations despite M and N having different widths..
\documentclass[10pt,a4paper]{article}
\usepackage{mathtools}
\begin{document}
\noindent
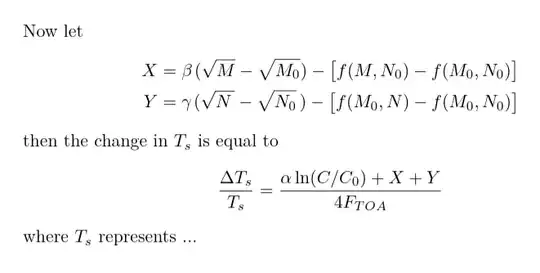
Now let
%
\bgroup
\newcommand{\NM}{\mathrlap{N}{\phantom{M}}}
\newcommand{\NMsqrt}{\mathrlap{\sqrt{N_0}}{\phantom{\sqrt{M_0}}}}
\begin{align}
X &= \beta\mspace{2mu}(\sqrt{M} - \sqrt{M_0}) - \bigl[f(M, N_0) - f(M_0, N_0)\bigr]\
Y &= \gamma\mspace{2mu}(\sqrt{\NM} - \NMsqrt) - \bigl[f(M_0, N) - f(M_0, N_0)\bigr]
\end{align}
\egroup
%
then the change in $T_s$ is equal to
%
\begin{equation}
\frac{\Delta T_s}{T_s}
= \frac{\alpha \ln(C/C_0) + X + Y}{4F_{TOA}}
\end{equation}
%
where $T_s$ represents ...
\end{document}