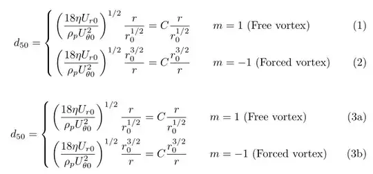
I am trying to create cases in the equation with numbering to individual cases and trying to push the text which is in \mbox{...} to the right. But I wasn't able to succeed. I request your kind help and suggestions on the same. Thank you very much for your help in advance. Kindly the refer the below figure for better understanding visually.
\begin{equation}
d_{50} =
\begin{cases}
\left(\frac{18\eta U_{r0}}{\rho_p U_{\theta0}^2}\right)^{1/2} \frac{r}{r_0^{1/2}} = C\frac{r}{r_0^{1/2}} \mbox{ m=1(Free vortex)}\\
\label{Eq:DpCFreV}
\left(\frac{18\eta U_{r0}}{\rho_p U_{\theta0}^2}\right)^{1/2} \frac{r_0^{3/2}}{r} = C\frac{r_0^{3/2}}{r} \mbox{ m=-1(Forced vortex)}
\label{Eq:DpCForcV}
\end{cases}
\end{equation}


cases? As for space before the text, precede it by&, which will align the conditions to the right. – barbara beeton Jun 24 '21 at 12:19