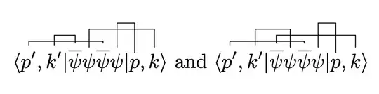
I am facing a problem in Wick contraction that totally weird. There are two pieces : $\langle \wick{\c1 p', \c2 k' \vert \overline{\c2 \psi} \c3 \psi \overline{\c1 \psi} \c4 \psi \vert \c4p, \c3 k} \rangle$and $\langle \wick{\c1 p', \c3 k' \vert \overline{\c2 \psi} \c3 \psi \overline{\c1 \psi} \c4 \psi \vert \c4 p, \c2 k} \rangle$. The first one gives a perfect expression but the second one is giving weird result. Somehow one contraction is missing
[
What am I doing wrong here?

