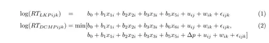
Consider the following two equations:
\documentclass[a4paper,10pt,twoside]{article}
\usepackage{amsmath}
\begin{document}
\begin{alignat*}{3}
&\log(RT_{LKPijk}) &= &b_{0} + b_{1}x_{1i} + b_{2}x_{2i} + b_{3}x_{3i} + b_{5}x_{5i} + u_{ij} + w_{ik} + \epsilon_{ijk} \tag{1}\\
&\log(RT_{DCMPijk}) &= min[&b_{0} + b_{1}x_{1i} + b_{2}x_{2i} + b_{3}x_{3i} + b_{6}x_{6i} + u_{ij} + w_{ik} + \epsilon_{ijk}, \tag{2}\\
&&&b_{0} + b_{1}x_{1i} + b_{2}x_{2i} + b_{3}x_{3i} + b_{5}x_{5i} + \Delta p + u_{ij} + w_{ik} + \epsilon_{ijk}]
\end{alignat*}
\end{document}
I would like to align the log=-parts, the is equal symbols and the b_{1}. This is the best I achieved so far. But I cannot get it done. What am I doing wrong?
P.S.: How can I compile TeX-Code on tex.stackexchange?


\mininstead of min. – Sebastiano Sep 10 '21 at 08:26