
You can use \mathchoice to use a suitably scaled font in each math style.
\font \zzz = cmr10 at 14pt
\font\zzzb cmr10 at 20pt
\font\zzzsy =cmsy10 at 14pt
\font\zzzsyb =cmsy10 at 20pt
\def\bigplus{\mathop{\mathchoice{\hbox{\zzzb+}}{\hbox{\zzz+}}{\scriptstyle+}{\scriptscriptstyle+}}}
\def\bigtimes{\mathop{\mathchoice{\hbox{\zzzsyb\char2}}{\hbox{\zzzsy\char2}}{\scriptstyle\times}{\scriptscriptstyle\times}}}
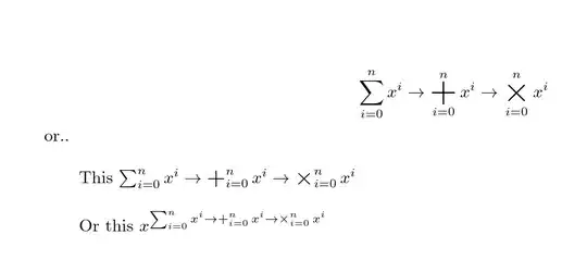
\def\test{\sum_{i=0}^nx^i \rightarrow \bigplus_{i=0}^nx^i \rightarrow \bigtimes_{i=0}^nx^i}
$$
\test
$$
or..
\bigskip
This $\test$
\bigskip
Or this $x^{\test}$
\bye
Or with vertical center for Barbara

\def\bigplus{\mathop{\mathchoice{\vcenter{\hbox{\zzzb+}}}{\vcenter{\hbox{\zzz+}}}{\scriptstyle+}{\scriptscriptstyle+}}}
\def\bigtimes{\mathop{\mathchoice{\vcenter{\hbox{\zzzsyb\char2}}}{\vcenter{\hbox{\zzzsy\char2}}}{\scriptstyle\times}{\scriptscriptstyle\times}}}
\bigrm\biggerrm,\bigsym,\biggersymif you prefer. – David Carlisle Oct 07 '21 at 20:35