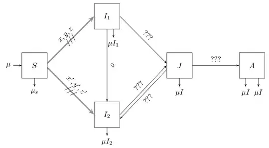
How would I draw the following diagram?
Please can you put $\epsilon$ on the left rather than the right.
The best I can do is:
\begin{tikzpicture}[node distance=2cm, on grid]
\tikzset{
mynode/.style = {circle,draw,minimum width=8mm,inner sep=0pt},
> = {Stealth[scale=1.5]}
}
\node [mynode] (A1) {S};
\node [mynode,right=of A1] (B1) {I_1};
\node [mynode,right=of B1] (C1) {I_2};
\node [mynode,right=of C1] (D1) {J};
\draw [<-] (A1) -- ++(-1,0) node[left] {$\mu$};
\draw [->] (A1) -- node[above] {$\beta$} (B1);
\draw [->] (B1) -- node[above] {$\sigma$} (C1);
\draw [->] (C1) -- node[above] {$\gamma$} (D1);
\draw [->] (A1) -- ++(0,-1) node[below] {$\nu$};
\draw [->] (B1) -- ++(0,-1) node[below] {$\nu$};
\draw [->] (C1) -- ++(0,-1) node[below] {$\nu$};
\draw [->] (D1) -- ++(0,-1) node[below] {$\nu$};
\draw [->] (D1) to[out=135,in=45] node[above] {$\xi$} (A1);
\end{tikzpicture}
This is what I'm looking for:
\documentclass[border=3mm]{standalone}
\usepackage{amsmath}
\usepackage{tikz}
\usetikzlibrary{arrows.meta,
positioning,
quotes}
\begin{document}
\begin{tikzpicture}[
node distance = 11mm and 33mm,
N/.style = {draw, minimum size=12mm, inner sep=0pt},
> = {Stealth[scale=0.8]},
every edge/.append style = {draw, ->},
every edge quotes/.append style = {font=\small\linespread{0.63}\selectfont,
inner sep=5pt, sloped}
]
\node [N] (A) {$S$};
\node [N,above right=of A] (B) {$I_1$};
\node [N,below right=of A] (C) {$I_2$};
\node [N,above right=of C] (D) {$J$};
\node [N,right=of D] (E) {$A$};
%
\draw [<-] (A) -- ++(-1,0) node[left] {$\mu$};
\draw [->] (A) -- ++(0,-1) node[below] {$\nu S$};
\draw [->] ([xshift=3mm] B.south) -- ++(0,-0.4) node[below] {$\nu I_1$};
\draw [->] (C) -- ++(0,-1) node[below] {$\nu I_2$};
\draw [->] (D) -- ++(0,-1) node[below] {$\nu J$};
\draw [->] ([xshift=-3.5mm] E.south) -- ++(0,-0.4) node[below] {$\nu \alpha$};
\draw [->] ([xshift=+3.5mm] E.south) -- ++(0,-0.4) node[below] {$\nu A$};
%
\draw ([yshift=+1mm] A.east)
edge [ultra thick, draw=gray,"\slash\slash\slash" anchor=center,
"$\begin{gathered}
p\beta_1 I_1\
q\beta_2 JS\
r\beta_3 AS
\end{gathered}$"] (B.west)
([yshift=-1mm] A.east)
edge [ultra thick, draw=gray,"\slash\slash\slash" anchor=center,
"$\begin{gathered}
(1-p)\beta_2 I_1\
(1-q)\beta_2 JS\
(1-r)\beta_3 AS
\end{gathered}$" '] (C.west)
(B) edge ["$\epsilon I_1$"] (C)
(D.west) edge ["$\xi_1 J$" ] ( B.east)
( C.east) edge ["$p_1 I_2$" ] (D.west)
([yshift=-2mm] D.west) edge ["$\xi_2 J$" '] ([yshift=-2mm] C.east)
(D) edge ["$p_2 J$"] (E);
\end{tikzpicture}
\end{document}
How do I flip the $\epsilon I_1$ so it reads left to right rather than on the side?




tikzpackage this should not be so big deal ... – Zarko Nov 18 '21 at 14:47