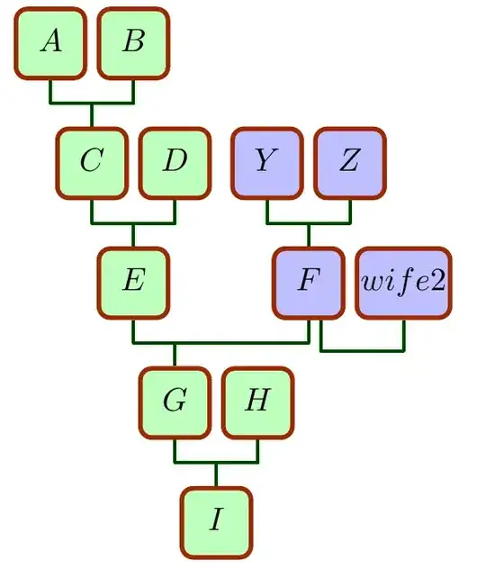
I need to add the parents in a "child" tree. In the following example I need to add the parents of the "F" node and a second wife/husband (union) of the "F" node.
\documentclass[english]{article}
\usepackage[all]{genealogytree}
\begin{document}
\begin{genealogypicture}[template=signpost]
child{
g{A}
p{B}
child{
g{C}
p{D}
child{
g{E}
p{F}
child{
g{G}
p{H}
c{I}
}
}
}
}
\end{genealogypicture}
\end{document}

