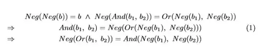
Leave it as is (after applying the fixes I propose). When your document is in final version, you can try some tricks like the one below, where the part after the \wedge is artificially made with zero width1 and I cover my tracks by moving everything to the far left.2
\lefteqn is the way to make a subformula zero width.
\hspace{0pt} at the beginning is necessary in order to move the aligned to the far left.
Avoid ~ in formulas, the spacing after commas is the right one. The operators should be in upright type: Neg is not the product of N, e and g.
\documentclass{article}
\usepackage{amsmath}
\usepackage{lipsum}% for nonsense context
\DeclareMathOperator{\XNor}{XNor}
\DeclareMathOperator{\Neg}{Neg}
\DeclareMathOperator{\Xor}{Xor}
\begin{document}
\lipsum[1][1-3]
\begin{equation}
\hspace{0pt}
\begin{aligned}
&& \XNor(b_1,b_2)=\Neg(\Xor(b_1,b_2)) &
\wedge \lefteqn{\Neg(\Xor(b_1,b_2))=\Xor(\Neg(b_1),b_2)} \
\Rightarrow
&& \XNor(b_1,b_2) &= \Xor(\Neg(b_1),b_2) \
\Rightarrow
&& \Neg(\XNor(b_1,b_2)) &= \Neg(\Xor(\Neg(b_1),b_2)) \
\Rightarrow
&& \Neg(\XNor(b_1,b_2)) &= \XNor(\Neg(b_1),b_2)
\end{aligned}
\hspace{1000pt minus 1fill}
\end{equation}
\lipsum[1][4-6]
\end{document}
Be aware that the trick used here exploits the particular shape of the display, where the top line has to parts each occupying about half of the text width, so it's not at all a general way to solve such problems.
