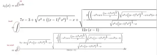
The integral sign is too small in this MWE
\documentclass[12pt]{article}
\usepackage{amsmath}
%\usepackage{wasysym} provides \varint but did not work
\begin{document}
\begin{align*}
z_1(x) &= e^{ \int \omega \,dx} \\
&= \int \frac{7 x -3+\sqrt{x^{2}+\left(\left(x -1\right)^{2} x^{3}\right)^{\frac{1}{3}}-x}+\sqrt{-\frac{2 \left(\left(-x^{2}+x +\frac{\left(\left(x -1\right)^{2} x^{3}\right)^{\frac{1}{3}}}{2}\right) \sqrt{x^{2}+\left(\left(x -1\right)^{2} x^{3}\right)^{\frac{1}{3}}-x}+x^{2} \left(x -1\right)\right)}{\sqrt{x^{2}+\left(\left(x -1\right)^{2} x^{3}\right)^{\frac{1}{3}}-x}}}}{12 x \left(x -1\right)}dx\\
&= {\mathrm e}^{\int \frac{7 x -3+\sqrt{x^{2}+\left(\left(x -1\right)^{2} x^{3}\right)^{\frac{1}{3}}-x}+\sqrt{-\frac{2 \left(\left(-x^{2}+x +\frac{\left(\left(x -1\right)^{2} x^{3}\right)^{\frac{1}{3}}}{2}\right) \sqrt{x^{2}+\left(\left(x -1\right)^{2} x^{3}\right)^{\frac{1}{3}}-x}+x^{2} \left(x -1\right)\right)}{\sqrt{x^{2}+\left(\left(x -1\right)^{2} x^{3}\right)^{\frac{1}{3}}-x}}}}{12 x \left(x -1\right)}dx}
\end{align*}
\end{document}
Compiled with lualatex (which is what I only use) gives
I know there is bigint package which provides different sizes. But this is not what asking for as I do not want to try different sizes each time. I need the integral size to automatically adjust to fit the size of the integrand. Similar to how \left( and \right) automatically adjust to the size of what is inside.
Is there a package for this? I tried \varint but it did work. the integral sign remained the same.


newcomputermodern, which has a scalable integral sign. 3) I tried your example with scalable integrals, and since your expression has a very high numerator compared to the denominatori, it did not come out too well.