How to use quotation marks in math mode? I need to get \lim with the quation marks above.
3 Answers
If you use ", these are no different in text mode, or math mode in terms of how you use them, although the spacing is a slightly different. However, as Mico pointed out is you use the recommended approach of ``...'' to obtain the double quotes, then this needs special handing inside math mode.
If you desire single quotes you can use the solution from How to get the closing single quote in math mode:

If possible you should put the quotes outside of math mode.
Code:
\documentclass{article}
\usepackage{amsmath}
\DeclareMathSymbol{\mlq}{\mathord}{operators}{``}
\DeclareMathSymbol{\mrq}{\mathord}{operators}{`'}
\begin{document}
\textbf{Text mode:}\par
``abc'' \qquad\qquad\quad `abc'
\bigskip
\textbf{Inline Math:}\par
$``\lim_{x \to 0} f(x)"$ \quad $\mlq\lim_{x \to 0} f(x)\mrq$
``$\lim_{x \to 0} f(x)$'' ~\quad `$\lim_{x \to 0} f(x)$'
\bigskip
\textbf{Display Math:}
[
\lim_{x \to 0} f(x)" \qquad \mlq\lim_{x \to 0} f(x)\mrq \] % \[ \text{$\lim_{x \to 0} f(x)$''} \qquad \mlq\lim_{x \to 0} f(x)\mrq
]
\end{document}
- 262
- 223,288
-
-
@IanThompson: Good point, have updated the solution for single quotes. – Peter Grill Jul 16 '12 at 18:12
-
2It might be good to point out explicitly that whereas one can get away with using
"for closing double quotes inside math mode, this is not the case for the usually-recommended way of inserting double closing quotes (''). The latter method will give a double-prime symbol when encountered in math mode. To display items encased in single or double quotes while in math mode, it may be best to encase the item in question in\text{``$...$''}. Doing so will also circumvent problems with inconsistent spacing caused by whether the quotes occur before or after the math-mode switch$`. – Mico Jul 16 '12 at 18:42 -
1
My solution of choice
\newcommand{\menquote}[1]{\ensuremath{\text{\textquotedbl} #1 \text{\textquotedbl}}}
using the amsmath package.
- 2,023
-
-
2
\textis already math mode aware. I'd avoid a command that is good in math mode and text mode, because it's ambiguous. I'd add\normalfontinside\text, anyway. – egreg May 04 '14 at 21:55 -
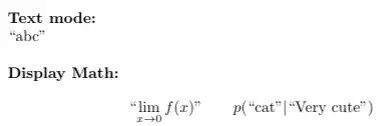
I would suggest an alternative solution with dirtytalk package:
\documentclass{article}
\usepackage{amsmath}
\usepackage{dirtytalk}
\begin{document}
\textbf{Text mode:}\par
\say{abc}
\bigskip
\textbf{Display Math:}
[
\text{\say{$\lim_{x \to 0} f(x)$}} \qquad p(\text{\say{cat}}|\text{\say{Very cute}})
]
\end{document}
It may be a useful solution if you have to mix math equations and conditional probabilities of words ;)
- 111

\limis an operator that already takes a subscript (or superscript). – Werner Jul 16 '12 at 17:51