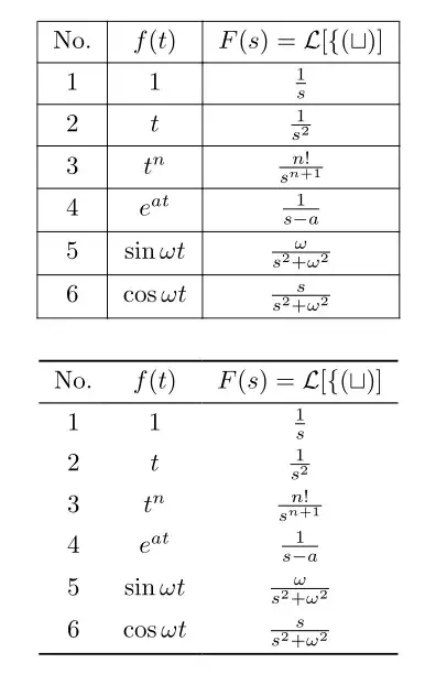
I am working on a table with a lot of formulas (Laplace Transforms of various functions). Using a standard command (\[2mm]), I am able to generate spacings for the denominators. But the numerators look cramped and the formulas do not read well. Is there a smart way to manage tables in LaTeX involving many mathematical fractions? Kindly help me on this! Thanks.
\begin{table}
\begin{center}
\begin{tabular}{|c|c|c|} \hline
No. & $f(t)$ & $F(s) = {\cal L}[f(t)]$ \\ \hline
1 & $1$ & ${1 \over s}$ \\[2mm] \hline
2 & $t$ & ${1 \over s^2}$ \\[2mm] \hline
3 & $t^n$ & ${ n! \over s^{n + 1}}$ \\[2mm] \hline
4 & $e^{a t}$ & ${1 \over s - a}$ \\[2mm] \hline
5 & $\sin \omega t$ & ${\omega \over s^2 + \omega^2}$ \\[2mm] \hline
6 & $\cos \omega t$ & ${s \over s^2 + \omega^2}$ \\[2mm] \hline
\end{tabular}
\end{center}
\end{table}





MWE, helping you is difficult since it involves guessing what you are trying to do. – Denis Mar 10 '22 at 08:28\overnotation instead of LaTeX\fracnotation? – Mico Mar 10 '22 at 08:51