I'm trying to make a typical composing-function diagram and I've saw a few posts, but I cannot make it yet as I'd like. In this picture I show what I attempt to make

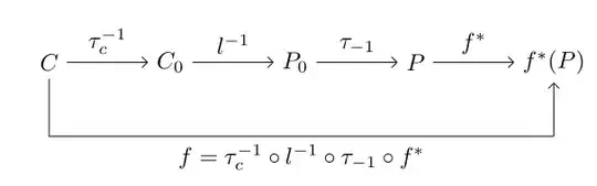
But the most I got is
As you can see, I used empty nodes for the broken line, but not exactly worthy. I leave my code here so you can help me with its edition. I must confess I'm basic user in Latex and 100% newbie in Tikz, so any guide you use is welcome.
\documentclass{article}
\usepackage{amsmath}
\usepackage{tikz}
\begin{document}
\begin{tikzpicture}[node distance=2cm, auto]
\node(1) {$C$};
\node(2) [right of=1] {$C_{0}$};
\node(3) [right of=2] {$P_{0}$};
\node(4) [right of=3] {$P$};
\node(5) [right of=4] {$f^{}(P)$};
\node(11) [below of=1] {};
\node(15) [below of=5] {};
\draw-> to node {$\tau_{c}^{-1}$}(2);
\draw-> to node {$l^{-1}$}(3);
\draw-> to node {$\tau_{-1}$}(4);
\draw-> to node {$f^{}$}(5);
\draw- to node {}(11);
\draw-> to node {}(5);
\draw- to node {$f = \tau_{c}^{-1} \circ l^{-1} \circ \tau_{-1} \circ f^{*}$}(15);
\end{tikzpicture}
\end{document}
Thanks




