I normally write my solutions to mathematics problems in Latex using the begin/end{align*} feature.
How does one highlight an equation, or answer in my case, when the code is in begin/end{align*} ?
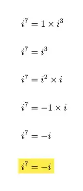
See my code below:
\begin{align*}
%--
i^7 &= 1 \times i^3 \\[5mm]
%--
i^7 &= i^3 \\[5mm]
%--
i^7 &= i^2 \times i \\[5mm]
%--
i^7 &= -1 \times i \\[5mm]
%--
i^7 &= -i \\[5mm]
%--
i^7 &= -i
\end{align*}
So I would like to highlight the last line BUT maintain the alignment
Thanks

\color{}within a{}.) – Teddy van Jerry Apr 25 '22 at 04:32\color{}maintain the alignment so that all the equal signs are under each other? – Stephan Apr 25 '22 at 04:45\color{red} i^7 & \color{red}=-iand it looks right. (No{}needed inalignenvironment.) – Teddy van Jerry Apr 25 '22 at 04:48i^7 = -i. – Stephan Apr 25 '22 at 04:56\begin{document} \begin{align} %-- i^7 &= 1 \times i^3 \[5mm] %-- i^7 &= i^3 \[5mm] %-- i^7 &= i^2 \times i \[5mm] %-- i^7 &= -1 \times i \[5mm] %-- i^7 &= -i \[5mm] %-- \color{red} i^7 & \color{red} =-i \end{align} \end{document} ` Result: image
– Teddy van Jerry Apr 25 '22 at 04:57