I want to get a single equation number for this multiple equation with \label I need for cross referencing. Also, I need a tall curly brace prior to the equation number.
- 506,678
- 51
4 Answers
mathtools has rcases
\documentclass{article}
\usepackage{mathtools}
\begin{document}
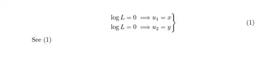
\begin{equation}
\label{eq:abc}
\begin{rcases}
\begin{alignedat}{3}
\log L&=0 && \implies &u_1&=x\
\log L&=0 && \implies &u_2&=y
\end{alignedat}
\end{rcases}
\end{equation}
See \eqref{eq:abc}
\end{document}
- 757,742
You can use alignedat, but you can exploit that the two equations have the same structure and the same width.
\documentclass{article}
\usepackage{amsmath}
\begin{document}
\begin{equation}
\left.
\begin{alignedat}{3}
\frac{\partial}{\partial\mu_1}\log L &= 0 &\enspace\Rightarrow &\enspace& \hat{\mu}_1&=\bar{x}_1 \
\frac{\partial}{\partial\mu_2}\log L &= 0 &\enspace\Rightarrow &\enspace& \hat{\mu}_2&=\bar{x}_2
\end{alignedat}
\right}
\end{equation}
\begin{equation}
\left.
\begin{gathered}
\frac{\partial}{\partial\mu_1}\log L = 0 ;\Rightarrow; \hat{\mu}_1=\bar{x}_1 \
\frac{\partial}{\partial\mu_2}\log L = 0 ;\Rightarrow; \hat{\mu}_2=\bar{x}_2
\end{gathered}
\right}
\end{equation}
\end{document}
- 1,121,712
Here's a solution that encases an array environment in a \left. ... \right\} construct.
\documentclass{article} % or some other suitable document class
\usepackage{array} % for '\newcolumntype' macro
\newcolumntype{C}{>{{}}c<{{}}} % for mathbin and mathrel objects
\newcolumntype{L}{>{\displaystyle}l}
\newcolumntype{R}{>{\displaystyle}r}
\usepackage{booktabs} % for '\addlinespace' macro
\setlength\textwidth{4in} % just for this example
\counterwithin{equation}{section}
\begin{document}
\setcounter{section}{16} % just for this example
\setcounter{equation}{44}
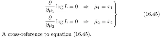
\begin{equation} \label{eq:hello}
\setlength\arraycolsep{0pt} % default value: 5pt
\left.
\begin{array}{ RCL @{\quad} c @{\quad} RCL }
\frac{\partial}{\partial\mu_1} \log L &=& 0 &\Rightarrow& \hat{\mu}_1 &=& \bar{x}_1 \
\addlinespace
\frac{\partial}{\partial\mu_2} \log L &=& 0 &\Rightarrow& \hat{\mu}_2 &=& \bar{x}_2
\end{array}
\right}
\end{equation}
A cross-reference to equation (\ref{eq:hello}).
\end{document}
- 506,678
Another solution, with the drcases environment, to ensure \displaystye inside rcases, and the diffcoeff package, which eases typesetting partial derivatives (and also ordinary derivatives):
\documentclass{article} % or some other suitable document class
\usepackage{mathtools}
\usepackage{diffcoeff}
\begin{document}
\begin{equation}\label{eqn}
\begin{drcases}
\diffp*{\log L}{\mu_1} = 0 \implies & \widehat{\mu}_1 = \bar{x}_1 \\[1ex]
\diffp*{\log L}{\mu_2} = 0 \implies & \widehat{\mu}_2 = \bar{x}_1
\end{drcases}
\end{equation}
\end{document}
- 271,350




