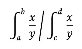
Consider the following example:
\documentclass{article}
% \usepackage{unicode-math}
% \setmathfont{KpMath-Regular.otf}
\usepackage{kpfonts-otf}
\begin{document}
[
\left. \int \limits_{a}^{b} \frac{x}{y} \middle/ \int \limits_c^d \frac{x}{y} \right.
]
\end{document}
The slash in the middle should be a bigger one. For example, if one uses kpfonts instead of kpfonts-otf, the result would be:
Is there some way to fix this behavior?




\usepackage[slash-delimiter=...]{unicode-math}, but neither\slash,\fracslashnor\divslashworks with this font. – Davislor Jul 05 '22 at 16:17