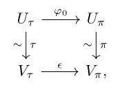
I want to add to add the supersets of the sets U_\tau and V_\tau (respectively for \pi) to the following tikz-cd diagram
I managed to achieve the following result
Latex code:
\documentclass[openany]{book}
\usepackage{amsmath}
\usepackage{amssymb}
\usepackage{amsthm}
\usepackage{mathtools}
\usepackage{tikz-cd}
\newcommand{\AAA}{\mathbb{A}}
\DeclareMathOperator{\Bl}{Bl}
\begin{document}
\begin{equation}
\begin{tikzcd}[/tikz/column 1/.append style={anchor=base east}, /tikz/column 2/.append style={anchor=base west}]
S \supset U_\tau \arrow[r, "\varphi_0"] \arrow[d, "\tau", "\sim"'] & U_\pi \subset T \arrow[d, "\pi", "\sim"']\
\Bl_{(0,0)}(\AAA^2) \supset V_\tau \arrow[r, "\epsilon"] & V_\pi \subset \AAA^2
\end{tikzcd}
\end{equation}
\end{document}
I would like the arrows to be typeset as in the first diagram, i.e. going from U_\tau to V_\tau (respectively for \pi). I know i can move them manually, but i can't seem to get rid of the rotations.
Is there a way to tell tikz-cd that i want the arrows to start centered on U_\tau and end centered on V_\tau (respectively for \pi)?




tikzcd, theanchor=base eastis changing how the arrows point, the default is to have vertical arrows, then you can manually shift them left or right as needed – Willoughby Feb 18 '23 at 22:32