Variables in math formulas are traditionally typeset in italics, in order to better distinguish them from text letters. So you shouldn't use all those \text commands, but just let TeX do its job.
Also \text{ln} is wrong (and I'm not talking about the symbol for the logarithmic function) and should be \ln.
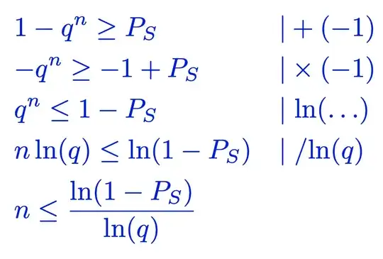
Now, the “more aligned” depends on individual tastes. You might want that the main formulas are left aligned or that they're aligned with respect to the relation symbols therein.
Personally, I'd not add the indication of the operations performed in order to go from a line to the next, because they're rather elementary. Anyway, here are two ways to get what you want.
\documentclass{article}
\usepackage{amsmath}
\usepackage{xcolor}
\begin{document}
[\color{blue!90!black}
\begin{alignedat}{2}
1 - q^n & \geq P_S &\quad& |+(-1) \
-q^n & \geq -1 + P_S && |\times(-1) \
q^n & \leq 1 - P_S && |;{\ln({\dots})} \
n\ln(q) & \leq \ln(1 - P_S) && |;/!\ln(q) \
n & \leq \frac{\ln(1 - P_S)}{\ln(q)}
\end{alignedat}
]
\end{document}

With left alignment:
\documentclass{article}
\usepackage{amsmath}
\usepackage{xcolor}
\begin{document}
[\color{blue!90!black}
\begin{alignedat}{2}
&1 - q^n \geq P_S &\quad& |+(-1) \
&{-q^n} \geq -1 + P_S && |\times(-1) \
&q^n \leq 1 - P_S && |;{\ln({\dots})} \
&n\ln(q) \leq \ln(1 - P_S) && |;/!\ln(q) \
&n \leq \frac{\ln(1 - P_S)}{\ln(q)}
\end{alignedat}
]
\end{document}

Actually, you should recall for the last step that q > 1, otherwise the step would be incorrect.