2

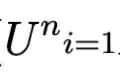
I have tried to substack under a regular character different from \sum or \prod and the result is not desired. Here is what I am obtaining:

enter image description here

I want to have the 'i = 1' underneath the U.

This is my code:

\documentclass[a4paper,12pt,oneside]{book}
\begin{document}
\begin{equation*}
   U^n{\substack{i=1}}
\end{equation*}
\end{document}
JamesT
  • 3,169
  • Can you please add a sketch of what you'd like to obtain and, perhaps, some source for such notation? – egreg Oct 09 '22 at 19:37

3 Answers3

5

TeX distinguishes several math classes: Ord for ordinary objects (like U), Op for operators (like \sum) and several others. You can re-type the default class by \matop{U} (gives U in Op class, i.e allows to use indexes above and below). But there is another feature of the \mathop TeX primitive. If there is only single object, it is centered to math axis. If you don't want this feature then use \mathop{{}U}. The empty object is object too, there is more than single object and centering to math axis is deactivated.

The sub/super-scripts of Op objects are above and below only in display style. If you want to have them above and below in text style too, then use \limits TeX primitive just before the subscript constructor _. The whole matter looks like this:

$\mathop{{}U^n}\limits_{n=1}$
wipet
  • 74,238
4

Here's a solution, using a correct syntax:

    \documentclass[a4paper,12pt,oneside]{book}
    \usepackage{amsmath}
\begin{document}

\begin{equation*}
   \substack{U^n \\ \scriptstyle i=1}
\end{equation*}

\end{document} 

enter image description here

Bernard
  • 271,350
3

I would simply write the image that you provided as the structure of a sum. See MWE image.

enter image description here

\documentclass[12pt]{article}
\usepackage{amsmath}

\begin{document} [\mathop{U}\limits_{i=1}^{n}] \end{document}

Sebastiano
  • 54,118