2

By default, when I load \includepackage{semantic}, it includes default ligatures such as -> for \to. How can I disable this default behavior?

I only want to include ligatures that I have defined myself, so I can go back later if I want to and redefine them like \mathlig{->}{\to}.

btshepard
  • 680

1 Answers1

3

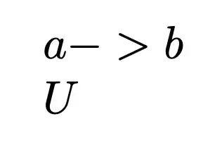
You can just load the ligature mechanism.

\documentclass{article}
\usepackage[ligature]{semantic}

\mathlig{*u}{U}

\begin{document}

$a->b$

$*u$

\end{document}

enter image description here

As you see, the standard -> doesn't get replaced by \to, but you can define your own ligature.

egreg
  • 1,121,712