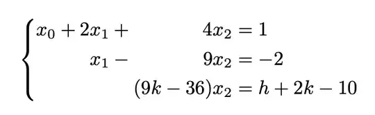
I am trying to use the CTAN systeme package with
\systeme{ x_0 + 2x_1 + 4x_2 = 1,x_1 - 9x_2 = -2,( 9 k - 36 ) x_2 = h + 2 k - 10}
As written, it does not properly recognize the variables x_0, x_1, x_2
due to the presence of the parameter k
\systeme[x]{...} does not work in this case.
How do I specify the variables?
