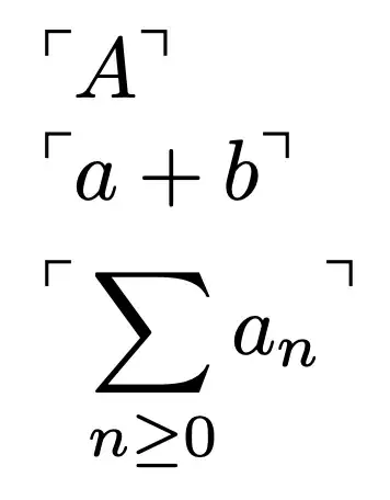
I want
to introduce a unique operator in my document. I basically want it to look like this: ⌜A⌝, where A is just an arbitrary statement. So '⌜⌝' is the operator.
How can I produce the ⌜ and ⌝ symbols here? The closest I've gotten so far are the \lceil and \rceil commands, but they're not really satisfying since they're way too large. It just looks like this: ⌈A⌉.
How could I create a new command for the type of operator I'm looking for?
I'm using amsmath and LuaLaTeX on overleaf in case that's relevant here.



