0

I have used a big equation in latex. Half of my code is not shown in latex. Here is my equation:

\begin{center}
    \begin{equation}\label{HammingTappering}
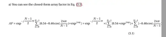
        AF = \exp^{-j\dfrac{N-1}{2} \Psi} \sum_{n=0}^{N-1} [0.54-0.46\cos(\frac{2n\pi}{N-1})\times \exp^{jn\psi}] = \exp^{-j\dfrac{N-1}{2} \Psi}\times ( \sum_{n=0}^{N-1} [0.54\times \exp^{jn\psi}] + \sum_{n=0}^{N-1} [-0.46\cos(\frac{2n\pi}{N-1})\times \exp^{jn\psi}]) = \exp^{-j\dfrac{N-1}{2} \Psi}\times (0.54\times \exp^{j\dfrac{N-1}{2} \Psi}\times \dfrac{\exp^{j\dfrac{N}{2} \Psi} - exp^{-j\dfrac{N}{2} \Psi}}{\exp^{j\dfrac{\Psi}{2}} - exp^{-j\dfrac{\Psi}{2} }}  + \sum_{n=0}^{N-1} [-0.23\times [\exp^{j\dfrac{2n\pi}{N-1}} + \exp^{-j\dfrac{2n\pi}{N-1}}]\times \exp^{jn\psi}]) = \exp^{-j\dfrac{N-1}{2} \Psi}\times (0.54\times \exp^{j\dfrac{N-1}{2} \Psi}\times \dfrac{\sin(\dfrac{N}{2}\psi)}{\sin(\dfrac{\psi}{2})}  + \sum_{n=0}^{N-1} [-0.23\times [\exp^{j\dfrac{2n\pi}{N-1}} + \exp^{-j\dfrac{2n\pi}{N-1}}]\times \exp^{jn\psi}]) = \exp^{-j\dfrac{N-1}{2} \Psi}\times (0.54\times \exp^{j\dfrac{N-1}{2} \Psi}\times \dfrac{\sin(\dfrac{N}{2}\psi)}{\sin(\dfrac{\psi}{2})}  +  [-0.23\times [\exp^{j(\dfrac{2\pi}{N-1}+\psi)\dfrac{N-1}{2}}\times \dfrac{\sin((\dfrac{2\pi}{N-1}+\psi)\dfrac{N}{2})}{\sin((\dfrac{2\pi}{N-1}+\psi))} + \exp^{j(\dfrac{-2\pi}{N-1}+\psi)\dfrac{N-1}{2}}\times \dfrac{\sin((\dfrac{-2\pi}{N-1}+\psi)\dfrac{N}{2})}{\sin((\dfrac{-2\pi}{N-1}+\psi))}]])=0.54\times \dfrac{\sin(\dfrac{N}{2}\psi)}{\sin(\dfrac{\psi}{2})}  +  [0.23\times [ \dfrac{\sin((\dfrac{2\pi}{N-1}+\psi)\dfrac{N}{2})}{\sin((\dfrac{\pi}{N-1}+\dfrac{\psi}{2}))} +  \dfrac{\sin((\dfrac{-2\pi}{N-1}+\psi)\dfrac{N}{2})}{\sin((\dfrac{-\pi}{N-1}+\dfrac{\psi}{2}))}]]
        \eqref{HammingTappering}
    \end{equation}
\end{center}

The result would be like this:

enter image description here

What should I do?

1 Answers1

1

Something like this?

\documentclass[12pt]{article}
\usepackage{amsmath,amssymb}
\usepackage[ left=0.5in,
top=0.6in,
right=1.0in,
bottom=0.8in,
headsep=0.25in,
a4paper]
{geometry}

\begin{document} \begin{equation}\label{HammingTappering} \begin{aligned} AF & = \exp^{-j\dfrac{N-1}{2} \Psi} \sum_{n=0}^{N-1} [0.54-0.46\cos(\frac{2n\pi}{N-1})\times \exp^{jn\psi}]\ &= \exp^{-j\dfrac{N-1}{2} \Psi}\times ( \sum_{n=0}^{N-1} [0.54\times \exp^{jn\psi}] + \sum_{n=0}^{N-1} [-0.46\cos(\frac{2n\pi}{N-1})\times \exp^{jn\psi}]) \ &= \exp^{-j\dfrac{N-1}{2} \Psi}\times (0.54\times \exp^{j\dfrac{N-1}{2} \Psi}\times \dfrac{\exp^{j\dfrac{N}{2} \Psi} - \exp^{-j\dfrac{N}{2} \Psi}}{\exp^{j\dfrac{\Psi}{2}} - \exp^{-j\dfrac{\Psi}{2} }} + \ &\sum_{n=0}^{N-1} [-0.23\times [\exp^{j\dfrac{2n\pi}{N-1}} + \exp^{-j\dfrac{2n\pi}{N-1}}]\times \exp^{jn\psi}])\ &= \exp^{-j\dfrac{N-1}{2} \Psi}\times (0.54\times \exp^{j\dfrac{N-1}{2} \Psi}\times \dfrac{\sin(\dfrac{N}{2}\psi)}{\sin(\dfrac{\psi}{2})} +\ &\sum_{n=0}^{N-1} [-0.23\times [\exp^{j\dfrac{2n\pi}{N-1}} + \exp^{-j\dfrac{2n\pi}{N-1}}]\times \exp^{jn\psi}]) \ &= \exp^{-j\dfrac{N-1}{2} \Psi}\times (0.54\times \exp^{j\dfrac{N-1}{2} \Psi}\times \dfrac{\sin(\dfrac{N}{2}\psi)}{\sin(\dfrac{\psi}{2})} \ &+ [-0.23\times [\exp^{j(\dfrac{2\pi}{N-1}+\psi)\dfrac{N-1}{2}}\times \dfrac{\sin((\dfrac{2\pi}{N-1}+\psi)\dfrac{N}{2})}{\sin((\dfrac{2\pi}{N-1}+\psi))} + \exp^{j(\dfrac{-2\pi}{N-1}+\psi)\dfrac{N-1}{2}}\times \dfrac{\sin((\dfrac{-2\pi}{N-1}+\psi)\dfrac{N}{2})}{\sin((\dfrac{-2\pi}{N-1}+\psi))}]])\ &=0.54\times \dfrac{\sin(\dfrac{N}{2}\psi)}{\sin(\dfrac{\psi}{2})} + [0.23\times [ \dfrac{\sin((\dfrac{2\pi}{N-1}+\psi)\dfrac{N}{2})}{\sin((\dfrac{\pi}{N-1}+\dfrac{\psi}{2}))} + \dfrac{\sin((\dfrac{-2\pi}{N-1}+\psi)\dfrac{N}{2})}{\sin((\dfrac{-\pi}{N-1}+\dfrac{\psi}{2}))}]] \eqref{HammingTappering} \end{aligned} \end{equation} \end{document}

enter image description here

Sebastiano
  • 54,118