Currently, I am using the custom command notate from this TeX SE answer.
The syntax of this command is:
\notate[B<race>]{<referenced math>}{<dropline length in \baselineskips>}{<math notation>}
Here's the MWE:
\documentclass{article}
\usepackage{graphicx,amsmath}
\usepackage[usestackEOL]{stackengine}
\usepackage{scalerel}
% \parskip \baselineskip % it's creating a problem with my theorem environment designs
\def\svmybf#1{\rotatebox{90}{\stretchto{{}{#1}}}
\def\svnobf#1{}
\def\rlwd{.5pt}
\newcommand\notate[4][B]{%
\if B#1\let\myupbracefill\svmybf\else\let\myupbracefill\svnobf\fi%
\def\useanchorwidth{T}%
\setbox0=\hbox{$\displaystyle#2$}%
\def\stackalignment{c}\stackunder[-6pt]{%
\def\stackalignment{c}\stackunder[-1.5pt]{%
\stackunder[2pt]{\strut $\displaystyle#2$}{\myupbracefill{\wd0}}}{%
\rule{\rlwd}{#3\baselineskip}}}{%
\strut\kern9pt$\rightarrow$\smash{\rlap{$~\displaystyle#4$}}}%
}
\begin{document}
\begin{equation}
S = \int \sqrt{\notate[X]{F}{1}{\text{$F$ is functional}}[x^a(\tau)]} d\tau
\end{equation}
\end{document}
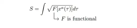
But my desired output is the following:
What do I need to change in the notate command to get the desired output?
Another feature I like to have in the command is regarding the placement of the arrowhead as an optional argument such that it can be placed in the direction of the <math notation> or/and the <referenced math> according to user choice. By default, it should be directed to the <math notation>. My desired syntax for the command:
\notate[<Brace>, <arrowhead>]{<referenced math>}{<dropline length in \baselineskips>}{<math notation>}
where the default choice would be such that the brace is at to the <referenced math> and the arrowhead is directed to the <math notation>.
For example:
- The following two should generate the same output and
[B,A]considered as the default choice for the optional argument:
\notate[B,A]{<referenced math>}{1}{<math notation>}
\notate{<referenced math>}{1}{<math notation>}
- To remove the brace and keep the arrowhead at the
<math notation>only:
\notate[X,A]{<referenced math>}{1}{<math notation>}
- To switch the positions of the brace and arrowhead (the arrowhead is at the
<referance math>and the brace is at the opposite end):
\notate[A,B]{<referenced math>}{1}{<math notation>}
- To keep the arrowheads at both ends:
\notate[A,A]{<referenced math>}{1}{<math notation>}
- To keep both ends blank (no brace, no arrowhead):
\notate[X,X]{<referenced math>}{1}{<math notation>}



derivativepackage too. – raf Apr 21 '23 at 16:18