I have been successfully using "split" to split up long equation, but now I get a new error:
\begin{equation}
\begin{split}
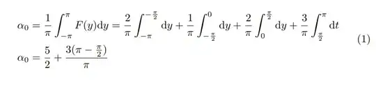
\alpha_0=\frac{1}{\pi}\int_{-\pi}^{\pi}F(y)\text{d}y=\frac{2}{\pi}\int_{-\pi}^{-\frac{\pi}{2}}\text{d}y+\frac{1}{\pi}\int_{-\frac{\pi}{2}}^{0}\text{d}y+\frac{2}{\pi}\int_{0}^{\frac{\pi}{2}}\text{d}y+\frac{3}{\pi}\int_{\frac{\pi}{2}}^{\pi}\text{d}t\\ \alpha_0=\frac{5}{2}+\frac{3(\pi-\frac{\pi}{2}){\pi}
\end{split}
\end{equation}
gives a lot of errors
I have tried many version, but can't get that $\alpha_0=\frac{5}{2}+\frac{3(\pi-\frac{\pi}{2}){\pi}$ to start at the second line, to the left...
Any ideas welcomed!
Thanks


\begin{split}in your example... (and to split you use\\\,&is foralign) – Rmano Apr 24 '23 at 13:28\frac{3(\pi-\frac{\pi}{2}){\pi}is missing a closing brace for the outer fraction's numerator – Dai Bowen Apr 24 '23 at 13:33\textlike that. That is not what\textis for and in certain cases it will produce the wrong result. Use\mathrm{d}etc insted. – daleif Apr 24 '23 at 13:34}and add a&in front of both the=signs, your code compiles just fine. – Jasper Habicht Apr 24 '23 at 13:48