I am trying to write a Dirac delta function. I almost have it but would like to bold my "x =x'" text.
Here is my code:
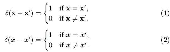
\begin{equation}
\delta(\mathbf{x-x^{'}})=\begin{cases}
1, & \text{$x = x'$}\\
0, & \text{$x \neq x'$}
\end{cases}
\end{equation}
I also tried this:
\begin{equation}
\delta(\mathbf{x-x^{'}})=\begin{cases}
1, & \textbf{$x = x'$}\\
0, & \textbf{$x \neq x'$}
\end{cases}
\end{equation}
but that gives the same output
Edit:from teddies comments this is the latex code I used to get the result I wanted:
\begin{equation}
\delta(\mathbf{x-x'})=\begin{cases}
1, & \mathbf{ x = x'}\\
0, & \mathbf{ x \neq x'}
\end{cases}
\end{equation}



x'notx^{'}. 2. No need to have\text{$...$}, just write the math. – Teddy van Jerry Apr 25 '23 at 18:10\bmby\usepackage{bm}would suit you well. – Teddy van Jerry Apr 25 '23 at 18:11