You need to use the starred environments to remove the automatic equation numbering i.e. \begin{equation*} and \end{equation*}:

\documentclass{article}
\usepackage{mathtools}
\begin{document}
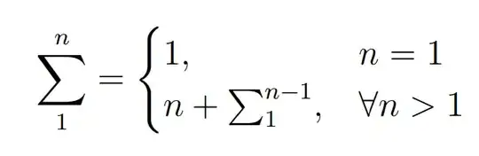
\begin{equation}
\sum_{1}^{n} =
\left{\begin{array}{lr}
1, & n=1\
n+\sum_{1}^{n-1}, &\forall n>1
\end{array}\right.
\end{equation}
\end{document}
A more succinct way that reduces typing is to follow the advice from @barbara beeton and use \[ and \] to wrap the one-line equation in:
\documentclass{article}
\usepackage{mathtools}
\begin{document}
[
\sum_{1}^{n} =
\left{\begin{array}{lr}
1, & n=1\
n+\sum_{1}^{n-1}, &\forall n>1
\end{array}\right.
]
\end{document}
which produces the same output image.