I want to write something like this

I have tried something like (requires relsize package for using \larger[]{})
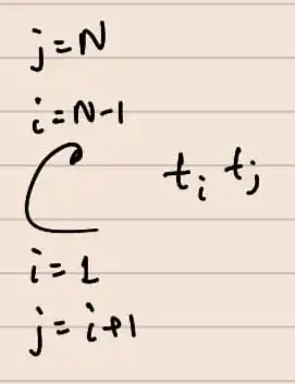
$$\mathop{\mathop{\text{\larger[5] C}}_{i=1}^{i=N-1}}_{j=i+1}^{j=N} t_i t_j$$
But, the problem is, symbols don't get aligned correctly (centered on the letter) like in the usual Sum expression, as you can see below -
Can anything be done here?



\DeclareMathOperator*in theamsmathuser guide. – barbara beeton Jul 25 '23 at 02:02\text{\larger[5] C}, this creates the same output. The centering doesn't work in text mode, maybe? The\mathlarger{}doesn't take any font size type parameter like\larger[]{}do, and it doesn't increase the font that much! – akopty Jul 25 '23 at 02:35$$in LaTeX for displayed maths, instead use\[and\]or theequationenvironment.$$isn't really supported by LaTeX and can lead to improper spacing. – Skillmon Jul 25 '23 at 03:59