Here is an example of what seems to me like a basic usecase for the system package:
\documentclass{article}
\usepackage{amsmath}
\usepackage{systeme}
\begin{document}
\begin{equation}
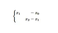
\systeme{x_{1}=x_0,x_{2}=x_1}
\end{equation}
\end{document}
The result displays more or less as expected, but with a weird alignment:
But if I want to a literal for an index, this happens:
\begin{equation*}
\systeme{x_{i}=x_0,x_{2}=x_1}
\end{equation*}
Why is this "i" displaying on the left and how can I remove it?


