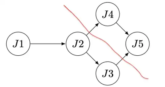
Here I have drawed a DAG(s). If possible I want to cut it with a curved lined.
My code:
\documentclass[journal,onecolumn]{IEEEtran}
\usepackage{hyperref}
\usepackage{tikz}
\usetikzlibrary{decorations.pathreplacing,positioning, arrows.meta}
\usetikzlibrary{shapes.geometric, arrows, shadows, decorations.text}
\begin{document}
\begin{figure}[!htp]
\centering
\begin{tikzpicture}
[vertex/.style={circle,draw=black,fill=white},
node distance=2cm,
on grid,
>=latex
]
% \draw[gray!50] (-1,-2) grid (5,2);
\node[vertex] (A) {$J5$};
\node[vertex,above left=1cm and 1cm of A] (B) {$J4$};
\node[vertex,below=of B] (C) {$J3$};
\node[vertex,left=of A] (D) {$J2$};
\node[vertex,left=of D] (F) {$J1$};
\draw[->]
(C) edge (A)
(B) edge (A)
(D) edge (C)
(D) edge (B)
(F) edge (D);
\end{tikzpicture}
\end{figure}
\end{document}
Output:
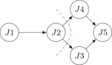
Wanted output:






