I just want to get only $\left \{$ in "Spec math version", all inside and outside have to be back to "OK version". My attempt:
\documentclass[a4paper,openany,12pt]{amsbook}
\usepackage[math]{iwona}
\DeclareMathVersion{OK}
\SetSymbolFont{operators}{OK}{OT1}{cmr}{m}{it}
\SetSymbolFont{letters}{OK}{OML}{cmbrm}{m}{it}
\SetSymbolFont{symbols}{OK}{OMS}{cmbrs}{m}{it}
\SetSymbolFont{largesymbols}{OK}{OMX}{iwona}{m}{it}
%--------------------------------------------------------
\DeclareMathVersion{Spec}
\SetSymbolFont{largesymbols}{Spec}{OMX}{cmbrs}{m}{it}
%--------------------------------------------------------
\newcommand{\va}[2]{\mathversion{Spec}\ensuremath{\left \{ \mathversion{OK} \begin{array}{l}
{#1} \\
{#2}
\end{array}} \right.}
\begin{document}
\mathversion{OK}
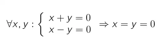
\[\forall x,y: \va{x + y = 0}{x - y = 0} \Rightarrow x = y = 0 \]
\end{document}
The inner portion is corrected, but the outer portion still contains problematic formatting. I'm unsure how to properly fix it - could you please assist?

\right.inside of\ensuremath. So that\left\{and\right.are at the same level. – Piroooh Sep 27 '23 at 05:43LaTeX Font Warning: Command \mathversion invalid in math mode on input line 18.you can not use\mathversionin this way. – David Carlisle Sep 27 '23 at 07:08