I don't think you want to move the numerator nearer to the fraction line: consider
\frac{nhs}{10}+\frac{g}{2}
that I'll represent in two ways, the one you're asking for and the standard one

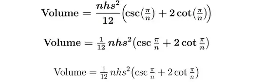
Do you see the problem? The height of the numerators are inconsistent. Having a single fraction in the formula is irrelevant, in my opinion.
You can achieve the reduced spacing with
\frac{\raisebox{-0.4ex}{$\displaystyle nhs^2$}}{12}
if you really want to, but I'd not do it. And I'd probably follow Mico's suggestion to do
\frac{1}{12}nhs^2
Second problem with your code. You want to emphasize your equation, but is there any reason to use \Large size and boldface? Your equation is already displayed, this is sufficient to emphasize its importance. Maybe (but I'd not do it) boldface, but definitely not \Large. Anyway, none of the methods Mico suggest is good, I'm afraid.
\documentclass{article}
\usepackage{amsmath}
\usepackage{lipsum}% for context
\newenvironment{vardisplay}[1]{%
% #1 contains the settings to apply
$$% start a display
\hspace{0pt}\begin{minipage}{\displaywidth}#1\noindent\ignorespaces
}{%
\end{minipage}\hspace{1000pt minus 1fill}$$\ignorespacesafterend
}
\begin{document}
\lipsum[1][1-5]
\begin{equation}
\mathrm{Volume} =
\frac{nhs^2}{12}
\bigl(\csc\bigl(\tfrac{\pi}{n}\bigr) + 2\cot\bigl(\tfrac{\pi}{n}\bigr)\bigr)
\end{equation}
\lipsum[2][1-5]
\begin{vardisplay}{\boldmath}
\begin{equation}
\mathrm{Volume} =
\frac{nhs^2}{12}
\bigl(\csc\bigl(\tfrac{\pi}{n}\bigr) + 2\cot\bigl(\tfrac{\pi}{n}\bigr)\bigr)
\end{equation}
\end{vardisplay}
\lipsum[3][1-5]
\begin{vardisplay}{\boldmath\Large}
\begin{equation}
\mathrm{Volume} =
\frac{nhs^2}{12}
\bigl(\csc\bigl(\tfrac{\pi}{n}\bigr) + 2\cot\bigl(\tfrac{\pi}{n}\bigr)\bigr)
\end{equation}
\end{vardisplay}
\lipsum[4][1-5]
\end{document}

Seeing the formula in context and compared to the other realizations should convince you that the first one is better.
The same but with
\frac{1}{12}nhs^2

nhsthe name of a variable, or does it denote the product of the variablesn,h, ands? Please advise. – Mico Feb 11 '24 at 13:57$$in latex and you definitely should never use a size command such as\Largein math mode (LaTeX will have warned about this). – David Carlisle Feb 11 '24 at 14:53\Largeand\bmwould appear to be important to you for the formula at hand. – Mico Feb 12 '24 at 03:34