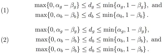
As is shown in my code, I used eqnarray but got two numbers. So I tried the method here by using equation and array instead. But I got error messages: "Package array Error: Illegal pream-token (\max): `c' used." and "Extra alignment tab has been changed to \cr."
As for the second error, I checked this but was still confused. The incorrect example in that link has different numbers of "&" across lines, but my code does not have such a problem.
My code is as follows.
\documentclass[notitlepage, 12pt]{amsart}
\usepackage{amsthm, amsmath, amsaddr, amssymb, graphicx, dsfont,}
\DeclareMathOperator*{\argmax}{arg\,max}
\DeclareMathOperator{\ima}{Im}
\newcommand{\namedthm}[2]{\theoremstyle{plain}
\newtheorem*{thm#1}{Theorem #1}\begin{thm#1}#2\end{thm#1}}
\usepackage{float}
\usepackage{tabularx}
\usepackage{array, makecell}
\NewExpandableDocumentCommand\mcc{O{1}m}%
{\multicolumn{#1}{c}{#2}}
\begin{document}
\begin{eqnarray}
\max{0, \alpha_g-\beta_g} \leq d_g \leq \min{\alpha_g, 1-\beta_g} &&\quad \mbox{ and } \
\quad \max{0, \alpha_b-\beta_b} \leq d_b \leq \min{\alpha_b, 1-\beta_b}.&&
\end{eqnarray}\bigskip
\begin{equation}
\begin{array}
\max{0, \alpha_g-\beta_g} \leq d_g \leq \min{\alpha_g, 1-\beta_g} &&\quad \mbox{ and } \
\quad \max{0, \alpha_b-\beta_b} \leq d_b \leq \min{\alpha_b, 1-\beta_b}.&&
\quad \max{0, \alpha_b-\beta_b} \leq d_b \leq \min{\alpha_b, 1-\beta_b}.
\end{array}
\end{equation}
\end{document}

