10

I have the complex exponential written as:

\begin{equation}
    e^{i \frac{2\pi}{5}}
\end{equation}

which appears as:

Small fraction

I have the complex exponential written as:

\begin{equation}
    e^{-i \dfrac{2\pi}{5}}
\end{equation}

which appears as:

Big fraction

Is there a 'better' way to represent this so it looks presentable?

Mico
  • 506,678
Stephan
  • 245

4 Answers4

21

Is there a 'better' way to represent this?

Use inline-math fraction or "slash" notation: e^{-i 2\pi/5}. Depending on the field you're in, it may be customary to place the 2\pi factor ahead of i. Do also consider using \exp(...) notation instead of e^{...} notation.

enter image description here

\documentclass{article}
\begin{document}
\[
e^{-i 2\pi/5}   \quad e^{-2\pi i/5}  
\qquad
\exp(-i 2\pi/5) \quad \exp(-2\pi i/5)
\]
\end{document}
Mico
  • 506,678
  • Also depends if you want to comply with ISO or not. – yannisl Mar 07 '24 at 04:19
  • @yannisl - Please elaborate, for the benefit of some readers. Thanks. – Mico Mar 07 '24 at 05:51
  • 4
    According to ISO standard "e" is a constant and it should be upright. Widely not followed though by the majority of authors. See https://www.tug.org/TUGboat/Articles/tb29-2/tb92guiggiani.pdf – yannisl Mar 07 '24 at 06:13
  • 4
    @yannisl - Thanks. Incidentally, it's not only "e" but "i" too that is supposed to be rendered in an upright/roman font shape; after all, "i" is a constant... Some zealots even claim that the symbol for \pi should be rendered using an upright variant of the glyph, since \pi is also a constant. As you take care to point out, though, this particular norm is widely ignored. Back to the query at hand: I'll admit that I didn't think about this particular norm when I posted my answer, possibly because I was focused on the "presentability" criterion mentioned in the title of the OP's query. – Mico Mar 07 '24 at 06:24
  • 3
    @yannisl I pulled several books off of my bookshelf, and not a single one uses an upright e or i in such instances (and I personally think such constructs look quite ridiculous). I will also point out that using an upright "d" in integrals is inconsistent with how such things are used in mathematics: the quantity is not "d" followed by "x"; it is "dx" (i.e., a variable like x that is infinitesimally small). Point is: use an upright e, d, and i if you want, but you would probably be in the minority by doing so. – karlh Mar 08 '24 at 02:57
  • 1
    @karlh Agreed, I do the same, one is not bound to use the ISO Standard, although I understand the rationale behind the suggestion for upright. When in doubt do what Knuth would do!. But if you had exp raised to {abcde}, where abcde are variables... you get my drift... https://tex.stackexchange.com/questions/14821/whats-the-proper-way-to-typeset-a-differential-operator there are many discussions about this. I did mentioned it for completeness. – yannisl Mar 08 '24 at 04:19
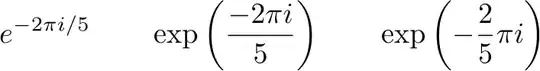
12

My suggestions would be any of the following:

\[ e^{-2\pi i/5}
   \qquad
   \exp\left(\frac{-2\pi i}{5}\right)
   \qquad
   \exp\left(-\frac{2}{5}\pi i\right)
\]

Other variants are also possible/common. These display as in the attached image.

enter image description here

karlh
  • 640
  • 1
    2/5 is such a narrow fraction that it won't be a problem, but with wide fractions a negation in front at the same level as the fraction bar can sometimes look like it's part of the fraction bar--especially if the printing/copying is of low quality. I usually look for ways to avoid it (such as your first two options). – dedded Mar 07 '24 at 00:56
  • Given that 2/5 is a simple fraction I'd use \tfrac in the lat example. I might even scale the ()'s manually (\bigl ... \bigr) to avoid the space after \exp – daleif Mar 07 '24 at 08:35
  • 2
    Look at the huge gap between exp and the opening parenthesis: this is a perfect example of why \left and \right shouldn't be used unless really necessary ;-) – campa Mar 07 '24 at 09:26
  • @campa I actually prefer the extra space most of the time. In this case, it could almost go either way, but there are plenty of times that I have to manually add space before a parenthesis if it's created by \bigl and friends. Using braces around the argument sometimes helps, too. – karlh Mar 08 '24 at 02:52
5

I do not see ugly \frac nor /, but ... Maybe \nicefrac?

mwe

\documentclass[twocolumn]{article}
\usepackage{tabto,parskip}
\usepackage{units}
\begin{document}
\verb!\frac!\tab \(e^{-i\frac{2\pi}{5}}\)\par 
\verb!\slash !\tab  \(e^{-i2\pi\slash 5}\)\par 
\verb!\nicefrac!\tab \(e^{\nicefrac{-i2\pi}{5}}\)\par 
\verb!\nicefrac!\tab \(e^{-i(\nicefrac{2\pi}{5})}\)\par 
\verb!\slash !\tab  \(e^{-i(2\pi\slash 5)}\)\par 
\end{document}
Fran
  • 80,769
0

$e^{i\alpha}$ with angle $\alpha=2\pi/5$ maybe a nicer approach, especially if you have some other values of your angle $\alpha$ in the paper, since it emphasizes the meaning of $\alpha$ as an angle, which is intuitive for the reader.