Why is there an additional line being numbered in the following example? I would like to remove this so that the line numbers only correspond to the equations specified. I realize that this is due to a mistake on my part but I can't see what I have done wrong:
\documentclass{article}
\usepackage{amsmath}
\usepackage{lineno}
\linenumbers
\date{}
\begin{document}
\begin{linenomath*}
\begin{flalign}
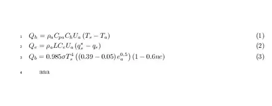
&Q_{h} = \rho_{a}C_{pa}C_{h}U_{a}\left(T_{s} - T_{a}\right)&\\
&Q_{e} = \rho_{a}LC_{e}U_{a}\left(q_{s}^{*}-q_{s}\right)&\\
&Q_{b} = 0.985\sigma{T_{s}^{4}}\left(\left(0.39-0.05\right)e_{a}^{0.5}\right )\left(1-{0.6 {nc}}\right)
\end{flalign}
\end{linenomath*}
\end{document}
