I have the same issue as in this question: Split-like environment inside cases environment with one difference - I would like to get the same result with LyX, using as little LaTeX code as possible. How can I do that?
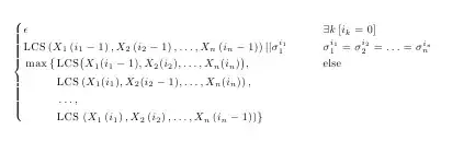
Here's my formula:
\begin{cases}
\epsilon & \exists k\left[i_{k}=0\right]\\
\mbox{LCS}\left(X_{1}\left(i_{1}-1\right),X_{2}\left(i_{2}- 1\right),\ldots,X_{n}\left(i_{n}-1\right)\right)||\sigma_{1}^{i_{1}} & \sigma_{1}^{i_{1}}=\sigma_{2}^{i_{2}}=\ldots=\sigma_{n}^{i_{n}}\\
\max\left\{ \mbox{LCS}\left(X_{1}\left(i_{1}-1\right),X_{2}\left(i_{2}\right),\ldots,X_{n}\left(i_{n}\right)\right),\mbox{LCS}\left(X_{1}\left(i_{1}\right),X_{2}\left(i_{2}-1\right),\ldots,X_{n}\left(i_{n}\right)\right),\ldots,\mbox{LCS}\left(X_{1}\left(i_{1}\right),X_{2}\left(i_{2}\right),\ldots,X_{n}\left(i_{n}-1\right)\right)\right\} & \mbox{else}\end{cases}
