Procedure idea: Supplementing the gains and imposing the requirement for equal equivalent input resistances simplifies circuit design.

Novel design procedure
It seems that there is nothing new to say about single op-amp amplifying circuits. Only, the innovator Dieter Knollman has suggested a new simpler design procedure in an EDN's article.[1] He has also placed his work on the web.[2] His idea is described more concisely in Electronics.
The active design procedure[3] is based on the new Daisy's theorem[4] and Plato's gain formula.[5] The result is amazing especially for summing op-amp circuits with multiple positive-gain inputs: you can calculate the resistor values for each input by using the same formula Ri = RF/|gain|! It sounds wonderful, doesn't it? Only, in order to really understand things we, human beings, need to grasp the basic ideas behind them. Then, let's reveal the ideas behind this mystic procedure following the heuristic approach of the famous mathematician George Polya. For this purpose, we will cite the original text in an italic type and will interpret it in a normal type.
Of course, it would be best if the author tells how he has invented the procedure. So, we suggest contributing to this page.
Author - Plato's Gain Formula is a simplification of the General Summing Amplifier gain formula. The GSA formula is derived via K9 Analysis, a dog-gone simple way to obtain circuit equations.
What does Daisy's theorem mean?
Daisy’s Theorem tells: the sum of the gains in a single op-amp amplifying circuit is equal to 1.[4] Only, don't you think that it seems quite strange to sum gains? It is far natural to think that voltage summers sum voltages! Then, let's examine this author's assertion.

Scrutinizing the material we will find out that Daisy's theorem concerns mainly parallel voltage summing circuits. What they are? Can such circuits exist at all (we usually think we must not connect in parallel voltage sources with different voltages)?
Daisy's comment - The theorem applies to linear circuits, with ideal voltage source inputs. The node voltage is a linear equation containing inputs and gain. The equation shows how via superposition each input contributes to the node voltage, the gain. The theorem applies to all nodes.
As you probably know, we can sum voltages directly by connecting the voltage sources in series (according to Kirchhoff's voltage law). In this series voltage summer, the whole input voltages participate in the overall sum:
Only, a problem with the common ground appears - some input voltage sources or the load remain flying. Then, we can sum voltages indirectly by connecting the voltage sources "in parallel" through resistors (according to Kirchhoff's current law). In this parallel voltage summer, the input voltages are weighted by coefficients αi (< 1, in case of passive summer) or gains Gi (> 1, in case of active summer):
The equation simply means that the circuit is linear, superposition applies.
In this common case (Fig. 2), the parallel summer sums products of gains and voltages. Now imagine that all the input coefficients αi (or gains Gi) are equal to 1. As a result, the summer will sums voltages as above - VOUT = VIN1 + VIN2 + ... VINn. Well, why do not we assume that all the input voltages are equal to 1V? In this case, the summer will sum coefficients (gains) - GOUT = GIN1 + GIN2 + ... GINn; now, the output voltage represents the overall gain! An example: a DAC is just a summer with digital-controlled binary-weighted input voltages (at constant input resistances) or gains (at constant input voltages equal to the reference voltage VREF).
Maybe, the best way to understand what Daisy's theorem means is to apply it to various summing circuits. Well, let's begin!
Passive summer

Let's first prove Daisy's theorem in the case of the simplest passive parallel summer. We may observe the parallel summing phenomenon in nature and our routine: (input) power sources connected in parallel through some "resistances" to the same (output) point where their influences are superimposed. For example, imagine how sources fight each other like as people in the game tug of war or arm wrestling.
Similarly, in an electrical passive parallel voltage summer (Fig. 3) the input voltage sources are connected "in parallel" through resistors to the same output point. The sources try to change the output voltage by "sucking" or "blowing" a current from/through the common point. As a result, their influences (voltages) are superimposed in the output point.
Why is there a need of resistances at all? Well, zero one resistance and you will see that the corresponding source completely controls the output—the output no longer depends on any of the other sources. It's no longer the "summer" we wanted. Zero two or more resistances? Even worse than zeroing just one—it directly shorts the voltage sources in a damaging short-circuit. The resistances are necessary to allow every input to have some influence on the sum.
The resistors continuously dissipate power.
After this intuitive viewpoint at the bare summing circuit let's make a bit more serious analysis. Regarding to each input, the summing circuit is a voltage divider composed by two resistances: the input resistance (Ri1, Ri2 or RG) and the equivalent resistance of the remaining resistances (Ri2||RG, Ri1||RG and Ri1||Ri2). Note that the third input voltage is zero (the corresponding resistor is just connected to the ground). In this way, the inputs attenuate the voltages by coefficients α1, α2 and αG according to the well-known voltage divider formula (Fig. 3).
Now, if we sum the input coefficients, we establish an interesting fact: the sum of the input coefficients is 1! When we decrease one resistance, its coefficient increases while the others decrease and v.v.; the coefficients shade one into other! We have reached a conclusion that the bare passive summing circuit obeys Daisy's theorem!
Only, what do we do, if we would like to set arbitrary input coefficients? What if we want ones that do not sum to 1? Eureka! We can connect an additional resistor to the ground with a complementary coefficient! This "parasitic" ground resistor will take off gain from the input coefficients; it acts as an attenuating element. Example 1: If we have chosen α1 = 0.4 and α2 = 0.6, there is no need of a ground resistor because their sum is exactly 1. Example 2: If we have chosen α1 = 0.4 and α2 = 0.4, there is a need of a ground resistor with α1 = 0.2; it adds the sum up to 1.
If you convert this circuit into a Norton equivalent circuit, the analysis becomes trivial.
Non-inverting summer

If we would like the summer to amplify, we may connect a non-inverting buffering amplifier with gain K after the bare summing circuits (Fig. 4). Obviously, in this case, the sum of the input gains will appear to constitute K:
In this arrangement, the function of the ground resistor is the same as above: it lets us set arbitrary input coefficients (not only complementing to K). Here, it takes off gain from the input gains but the overall sum remains equal to K.
Daisy's theorem states that the sum is always equal to one, at the amplifier input and also at the output. The amplifier must have a hidden ground that will have a gain of (1-k).
If you construct a complete schematic for this circuit, you may notice that the circuit has a ground resistor on both op-amp inputs. This will degrade performance.
Moral - Always use complete schematics.
Inverting summer

Whenever possible, we prefer to use the clearer inverting summer. The inverting summer is easy to design, but provides inferior performance. Moral - K9 is simple for all cases. Design for performance.
The idea of this clever circuit (Fig. 5) is simple: the op-amp "neutralizes" the "disturbing" output voltage of the imperfect passive summing circuits by an equivalent "antivoltage"[6][7][8]
The inverting summer like as the non-inverting one has weighted inputs. If we assume that the gain of the equivalent non-inverting amplifier is K, we can establish that the sum of the input negative gains constitutes K-1:
G1 = RF/Ri1, G2 = RF/Ri2, G3 = RF/RG
G1 + G2 + G3 = RF*(1/Ri1+1/Ri2+1/RG) = RF/(Ri1||Ri2||RG) = K - 1
It is interesting to see what happens, if we add a ground resistor to the inverting input. Now, it adds gain to the overall sum without affecting the other inverting input gains.
Here's another example of an incomplete schematic. The (+) op-amp input is not shown. The circuit will not function without a (+) input.
Daisy's theorem only applies to complete circuits. This circuit will be rejected by SPICE. It's easy to construct figures that violate circuit principles.
Moral - The internet contains contains many circuit figures that can't function. You need to recognize these.
Mixed summer

Usually, op-amps have differential inputs (if we need only a bare single-input, we just ground the "unused" input). So, we can connect summing circuits to both non-inverting and inverting inputs. In this way, we obtain a universal summing-subtracting circuit - Fig. 6 (the author has named it general summing amplifier).
Looking from the positive-input side, the sum of the positive input coefficients (between the sources and the non-inverting op-amp's input) is as usual 1 and the sum of the positive input gains (between the sources and the op-amp's output) is K.
Looking from the negative-input side, the sum of the negative input gains (between the sources and the op-amp's output) is K - 1. As a result, (the sum of the positive gains) - (the sum of the negative gains) = 1. Wonderful! The circuit obeys Daisy's theorem!
How does a ground resistor affect the circuit? Adding a ground resistor to the non-inverting input takes off gain from the positive input gains but the overall sum of gains (caused by the non-inverting inputs) remains equal to K. The reason: the ground resistor does not affect the negative feedback.
Adding a ground resistor to the inverting input doesn't affect the other inverting input gains but it increases proportionally the positive input gains. The reason: the ground resistor affects the negative feedback. This action increases both the sums (inverting and non-inverting) but the difference remains as before equal to 1. Maybe, these observations have given an idea to the author to introduce a coefficient p into Plato's formula...
p is needed if a circuit has not been optimally designed.
A better circuit, but not without problems. Since Rg is connected to the (-) op-amp input, it may not be equal to zero. Plato's gain formula reveals this. Rg is in the denominator.
Some mixed sum circuits will Rg connected to the (+) input. A short is allowed here.
Moral - Don't trust simple circuit tricks. Look at formulas and assumptions.
Non-inverting amplifier

The author claims that even the most elementary op-amp amplifying circuits obey Daisy's theorem. Then, let's examine this assertion beginning by the classic non-inverting amplifier.
We can think of a non-inverting amplifier just as a "degenerated" summing-subtracting circuit, if we assume that the ground acts as another input (...most op-amp circuits are a subset of the general summing circuit; for example, a non-inverting amplifier would have a single positive input and a single negative input that is connected to ground...).
Well, let's see, if the circuit obeys Daisy's theorem:
It obeys the theorem!
It even works for the most elementary circuit, a short from input to output. V(out) = 1 * Vin
Inverting amplifier

Similarly, we can think of an inverting amplifier as a "degenerated" summing-subtracting circuit assuming again that the ground acts as another input (...for example, an inverting amplifier would have a single positive input that is ground and a single negative input...).
Let's see again, if the circuit obeys Daisy's theorem:
It obeys the theorem too!
Differential amplifier

Actually, the inverting and non-inverting amplifiers are differential circuits that subtract the input voltage from the "ground" voltage. From this viewpoint, the ground voltage is just an input voltage. Only, they are unbalanced circuits because the two input gains differ by 1. We can balance the circuits, if we decrease by 1 the non-inverting input gain or, if we increase by 1 the inverting input gain. The first technique is more popular; it leads to the classic circuit of an op-amp differential amplifier.
In this circuit, the non-inverting input resistor Ri1 and the ground resistor RG constitute a voltage divider, which attenuates two times the input voltage. Let's see, if the circuit obeys Daisy's theorem:
It obeys the theorem too!
What is the role of the "ground resistor"?
Finally, let's generalize the role of the ground resistor in all the circuits discussed.
The ground resistor adds the gain needed in the case when the sum of the signal gains does not constitute 1.
Three cases are possible:
1. If the signal gain sum is more than 1, we connect a ground resistor to the inverting op-amp input.
2. If the signal gain sum is less than 1, we connect a ground resistor to the non-inverting op-amp input.
3. If the signal gain sum is exactly 1, we do not connect a ground resistor.
Is the ground resistor a "parasitic" component? Not always! For example, in the circuit of an inverting amplifier, it is a vital element! Give example where it is a "parasitic" component.
Daisy's theorem shown when a ground resistor is needed.
What does Plato's formula mean?
Plato's gain formula tells: the "non-inverting" gains Ri are proportional to the ratio between the "feedback" resistor RF and the input resistance Ri.[5] What does it mean?
Once we defined the gains (by using Daisy's theorem), we have to determine the magnitudes of the circuit resistors. There is no problem to calculate resistances connected to the inverting input; only, it is too difficult to calculate the resistances connected to the non-inverting input. Fortunately, the author has managed to find out an interesting relation (he has named it Plato's formula[5]): the "non-inverting" gains Ri are proportional to the ratio between the "feedback" resistor RF and the input resistance Ri:
The coefficient of proportionality p is the same for all the positive gains and is equal to the ratio between the two equivalent resistances connected to the op-amp inputs:
If the equivalent resistances are equal (this is just what we want, in order to minimize bias-current error), then p = 1 and Gi = RF/Ri.
It is really doggone simple! It sounds wonderful! Only, we would like to know what the idea behind Plato's formula is. As the author has hidden the idea, let's try to reveal it by ourselves.
Author - There is no circuit trick, just K9 Analysis (a simplified form of Node Analysis). The intent of K9 is avoid tricks and to make Analog Circuit Design and Analysis Dog-Gone Simple.
A key for understanding: equalizing the input resistances
Obviously, we have to find some relation between the circuit parameters that can help us to simplify the calculations. Well, let's try using the requirement for equal equivalent input resistances Re(+) = Re(-), which minimizes the error caused by the input bias currents. What is this mean?
If the equivalent input resistances connected to the op-amp inputs are different, the op-amp input bias currents produce different voltages across the resistances; their difference acts as an undesired differential input voltage. In order to compensate this harmful voltage, we can make equal the two equivalent input resistances (a favorite compensation technique in op-amp design). Usually, this means to connect an additional resistor between the op-amp input having lower resistance and the ground; its resistance is equal to the equivalent resistance connected to the other input. As a result, the op-amp input bias currents produce equal voltages; their difference acts as a common-mode input voltage that is rejected by the op-amp.
Well, let's now apply this technique to the same op-amp summing circuits, in order to reveal the idea behind Plato's formula.
Op-amp inverting amplifier

Let's begin with the op-amp inverting amplifier illustrated in Fig. 10. Some people "simplify" this circuit by replace RG with a zero value resistor (a wire). This simplified circuit consists only of two phyical resistors and an op-amp. The resulting RG = 0 circuit seems to violate Daisy's theorem.
When we set RG = 0, the equivalent input resistances are very different (Re(+) = 0, Re(-) = Ri||RF). Theoretically (with an ideal op amp) this seems to be OK. But when we use a real op-amp, its equal input bias currents flowing through the these unequal equivalent input resistances cause an undesired offset voltage.
To compensate, we replace the zero-ohm wire, between the "+" input pin and the ground with a real resistor RG. Equalizing equivalent input resistances requires RG = Re(-) = Ri||RF (Fig. 10).
Now, if we substitute the term Ri/(Ri + RF) with K (the gain of the equivalent non-inverting amplifier), we will get the Plato's formula for the inverting amplifier:
The ground resistor RG does not define the ground gain; it only compensates the undesired voltage drop caused by the input bias current.
And so Daisy's Theorem is true of a properly compensated inverting amplifier.
(Compared to the properly compensated circuit, the "simplified" RG = 0 circuit has degraded performance).
Op-amp non-inverting amplifier

Then, let's consider the next elementary op-amp amplifying circuit - the non-inverting amplifier. Following the same compensation technique, we connect an additional resistor between the input voltage source VIN and the op-amp non-inverting input having resistance Ri = Re(-) = RG||RF (Fig. 11).
Now, if we substitute the term RG/(RG + RF) with K (the gain of the non-inverting amplifier), we will get the Plato's formula for the non-inverting amplifier:
As above, Ri does not define the voltage gain; it only compensates the undesired voltage drop caused by the input bias current.
(Like the "simplified" inverting amplifier, the "simplified" Ri = 0 non-inverting amplifier has degraded performance when compared to a properly compensated non-inverting amplifier).
Op-amp non-inverting summer

It is time to consider a real summing circuit; let's begin with the simpler op-amp non-inverting summer (Fig. 12).
Here, there are already some resistances connected to the op-amp inputs; we have only to equalize them, in order to minimize the input bias current error:
Now, if we substitute the term RG/(RG + RF) with K (the gain of the op-amp non-inverting amplifier) and αi.K = Gi, we will get again Plato's formula for the non-inverting summer:
(αi is the ratio between the voltage at the non-inverting input and the input voltage while Gi is the ratio between the op-amp output voltage and the input voltage).
Note that the "ground" resistor RG is a vital element in this circuit!
Op-amp mixed summer
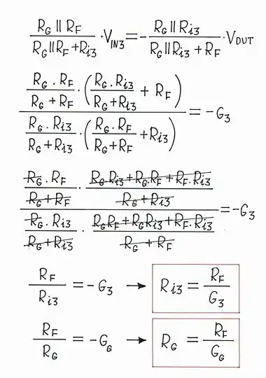
Finally, let's see, if the universal summing-subtracting circuit obeys Plato's formula. Again, we equalize the input equivalent resistances, in order to minimize the input bias current error:
After we substitute the terms as above, we will see that really the most complex summing circuit obeys Plato's formula: Ri = RF/K.


Plato's formula illusions
Note that Plato's formula cherishes the illusion that calculating the non-inverting gains is as simple as inverting ones and the non-inverting gains are independent. Only, if we consider the case when we have defined the gains but later we have to change some of them, we will establish the fact that after we have recalculated the input resistor we have to recalculate the ground gain (Daisy) and ground resistor (Plato).
Plato - There is no illusion in K9. Whenever you change a gain,you need to calculate two new resistor values namely the input resistor and the ground resistor. The only difference between inverting and non-inverting gains is the op-amp input that they connect to. In mixed gain circuits, a gain change may move the ground resistor connection. Daisy tells you where to connect. Legacy analysis can only handle negative gain changes and only if you don't need a balanced circuit. Legacy promotes the illusion that positive and mixed gains are difficult. Doesn't have to be. The K9 procedure is not only simpler, but better.
References
- ↑ Single-formula technique keeps it simple
- ↑ K9 analysis make analog circuit design and analysis doggone simple
- ↑ Shadow's Design Procedure creates a passive or single op-amp circuit to implement a linear circuit equation.
- 1 2 Daisy’s Theorem states that the sum of all voltage gains is equal to one.
- 1 2 3 Plato's gain formula defines the gains of a single op-amp amplifiying circuit.
- ↑ Op-amp inverting summer is an animated flash tutorial, which builds the famous circuit.
- ↑ Op-amp Circuit Builder (movie philosophy) is an interactive flash tutorial that builds various op-amp inverting circuits.
- ↑ How do we create a virtual ground? is a circuit story about the great phenomenon.