The Mandelbrot set is made up of points plotted on a complex plane to form a fractal: a striking shape or form in which each part is actually a miniature copy of the whole. The incredibly dazzling imagery hidden in the Mandelbrot Set was possible to view in the 1500s thanks to Rafael Bombelli's understanding of imaginary numbers -- but it wasn't until Benoit Mandelbrot and others started exploring fractals with the aid of computers that the secret universe was revealed.[1]


Now that we know it exists, we can approach it in a more primitive manner: by hand. Here is a method of viewing a crude rendering of the set, just for the purpose of understanding how it's done; you will then gain a much deeper appreciation for the renderings that you can make using the many open-source computer programs available, or that you can view on CD-ROM and DVD.

Steps

  1. 1
    Understand the basic formula, often expressed as z = z2 + c. This simply means that, for each point in the Mandelbrot universe we wish to see, we keep calculating z until one of two conditions occur; then we color it to show how many calculations we made. Don't worry! This will become clear in the following steps.[2]
  2. 2
    Get 3 different-colored pencils, or crayons, or felt-tipped markers, plus a black pencil or pen to make the outline. The reason we want three colors is because we'll make a first approximation with no more than 3 iterations (passes, or in other words, applying the formula up to 3 times per point):
    Advertisement
  3. 3
    With the black marker, draw a large tic-tac-toe board, 3 by 3 squares, on a piece of paper.
  4. 4
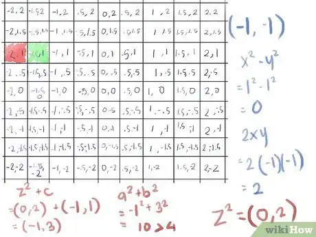
    Label (also in black) the middle square (0, 0). This is the constant (c) value of the point in the exact center of the square. Now let's say each square is 2 units wide, so add and/or subtract 2 to/from the x and y values of each square, with x being the first number and y being the second number. When done, it will look like what you see displayed here. Whenever you follow the cells across, the y-values (the second number) should be the same; whenever you follow the cells down, the x-values (the first number) should be the same.
  5. 5
    Calculate the first pass, or iteration, of the formula. You, as the computer (actually, the original meaning of the word was "a person who computes") can do this yourself. Let's start with these assumptions:

  6. 6
    Let's try a square 3 times bigger, 9 by 9, but still keeping a maximum of 3 iterations.
  7. 7
    Start with the 3rd row down, because that's where it gets interesting right away.

  8. 8
    Continue calculating each cell until it has escaped, or you have reached the maximum number of iterations (the number of colors you're using: 3 in this example), at which point you color it. Here's how the 9 by 9 matrix looks after 3 iterations on each square...Looks like we're onto something![4]
  9. 9
    Iterate the same matrix again with more colors (iterations) to reveal the next few layers, or better, draw up a much larger matrix for a longer-term project! You get more accurate pictures by:

  10. Advertisement

Community Q&A

  • Question
    Why use the absolute value to find C?
    Community Answer
    Community Answer
    C is acquired from Zn+1=(Zn)^2+C. Zn is the starting point, which is (0,0i) in this case, so C is always the value of Zn+1. The absolute value is used to check if the point escapes from the set. When it escapes the first time, it is considered Pass 1.
  • Question
    Why do I obtain the same results while calculating the absolute values of (-1,1) and (1,1), while in the example above (-1,1) escapes after 3rd pass and (1,1) after second?
    Community Answer
    Community Answer
    In [-1, 1] (i-1), the absolute value of the third pass is equal to 2, and it escapes on the pass that it's either equal or bigger than 2, and it's equal to 2. So it goes on the third pass. In [1, 1] (1+i) you calculated it incorrectly.
  • Question
    If a cell escapes the second pass, is the cell automatically in the third pass?
    Community Answer
    Community Answer
    If the cell escapes (has a value greater than 2) in the second pass, it is colored in. Any cell that does not escape in the second pass automatically gets a third pass.
Advertisement

Warnings

  • Mathematics can become very addictive, like anything else, but it probably won't harm your liver or cause lung cancer.
    ⧼thumbs_response⧽
Advertisement

About This Article

wikiHow is a “wiki,” similar to Wikipedia, which means that many of our articles are co-written by multiple authors. To create this article, 33 people, some anonymous, worked to edit and improve it over time. This article has been viewed 305,653 times.
192 votes - 79%
Co-authors: 33
Updated: March 2, 2023
Views: 305,653
Advertisement