This article was co-authored by David Jia. David Jia is an Academic Tutor and the Founder of LA Math Tutoring, a private tutoring company based in Los Angeles, California. With over 10 years of teaching experience, David works with students of all ages and grades in various subjects, as well as college admissions counseling and test preparation for the SAT, ACT, ISEE, and more. After attaining a perfect 800 math score and a 690 English score on the SAT, David was awarded the Dickinson Scholarship from the University of Miami, where he graduated with a Bachelor’s degree in Business Administration. Additionally, David has worked as an instructor for online videos for textbook companies such as Larson Texts, Big Ideas Learning, and Big Ideas Math.
There are 10 references cited in this article, which can be found at the bottom of the page.
This article has been viewed 438,377 times.
An algebraic expression is a mathematical phrase that contains numbers and/or variables. Though it cannot be solved because it does not contain an equals sign (=), it can be simplified. You can, however, solve algebraic equations, which contain algebraic expressions separated by an equals sign. If you want to know how to master this mathematical concept, then see Step 1 to get started.
Steps
Understanding the Basics
-
1Understand the difference between an algebraic expression and an algebraic equation. An algebraic expression is a mathematical phrase that can contain numbers and/or variables. It does not contain an equals sign and cannot be solved. An algebraic equation, however, can be solved, and does include a series of algebraic expressions separated by an equals sign. Here are some examples:[1]
- Algebraic expression: 4x + 2
- Algebraic equation: 4x + 2 = 100
-
2Know how to combine like terms. Combining like terms just means adding up (or subtracting) the terms of the same degree. This means that all x2 terms can be combined with other x2 terms, that all x3 terms can be combined with x3 terms, and that all constants, numbers that are not attached to variables, such as 8 or 5, can be added up, or combined, as well. Here's an example:[2]
- 3x2 + 5 + 4x3 - x2 + 2x3 + 9 =
- 3x2 - x2 + 4x3 + 2x3 + 5 + 9 =
- 2x2 + 6x3 + 14
Advertisement -
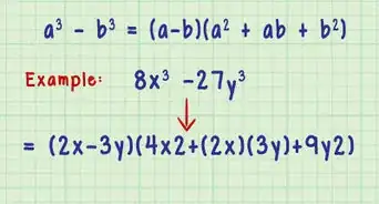
3Know how to factor a number. If you're working with an algebraic equation, which means there is an expression on either side of an equals sign, then you can simplify it by factoring out a common term. Look at the coefficients of all of the terms (the numbers before the variables, or the constants) and see if there is a number that you can "factor out" by dividing each term by that number. If you can do this, then you have simplified the equation and are on your way to solving it. Here's how:[3]
- 3x + 15 = 9x + 30
- You can see that each coefficient can be divisible by 3. Just "factor out" the number 3 by dividing each term by 3 to get your simplified equation.
- 3x/3 + 15/3 = 9x/3 + 30/3 =
- x + 5 = 3x + 10
- 3x + 15 = 9x + 30
-
4Know the order of operations. The order of operations, also known by the acronym PEMDAS, explains the order in which you should perform different mathematical operations. The order is: Parentheses, Exponents, Multiplication, Division, Addition, and Subtraction. Here's an example of how the order of operations works:[4]
- (3 + 5)2 x 10 + 4
- First, follow P, the operation in the parentheses:
- = (8)2 x 10 + 4
- Then, follow E, the operation of the exponent:
- = 64 x 10 + 4
- Next, do multiplication:
- = 640 + 4
- And last, do addition:
- = 644
-
5Learn how to isolate a variable. If you're solving an algebraic equation, then your goal is to get the variable, often known as x, on one side of the equation, while placing the constant terms on the other side of the equation. You can isolate x by division, multiplication, addition, subtraction, finding the square root, or other operations. Once you've isolated x, you can solve for it. Here's how:[5]
- 5x + 15 = 65 =
- 5x/5 + 15/5 = 65/5 =
- x + 3 = 13 =
- x = 10
Solve an Algebraic Equation
-
1Solve a basic linear algebraic equation. A linear algebraic equation is nice and simple, containing only constants and variables to the first degree (no exponents or fancy stuff). To solve it, simply use multiplication, division, addition, and subtraction when necessary to isolate the variable and solve for "x". Here's how you do it:[6]
- 4x + 16 = 25 -3x =
- 4x = 25 -16 - 3x
- 4x + 3x = 25 -16 =
- 7x = 9
- 7x/7 = 9/7 =
- x = 9/7
-
2Solve an algebraic equation with exponents. If the equation has exponents, then all you have to do is find a way to isolate the exponent on one side of the equation and then to solve by "removing" the exponent by finding the root of both the exponent and the constant on the other side. Here's how you do it:[7]
- 2x2 + 12 = 44
- First, subtract 12 from both sides.
- 2x2 + 12 -12 = 44 -12 =
- 2x2 = 32
- Next, divide both sides by 2.
- 2x2/2 = 32/2 =
- x2 = 16
- Solve by taking the square root of both sides, since that will turn x2 into x.
- √x2 = √16 =
- State both answers:x = 4, -4
- 2x2 + 12 = 44
-
3Solve an algebraic expression with fractions. If you want to solve an algebraic expression that uses fractions, then you have to cross multiply the fractions, combine like terms, and then isolate the variable. Here's how you would do it:[8]
- (x + 3)/6 = 2/3
- First, cross multiply to get rid of the fraction. You have to multiply the numerator of one fraction by the denominator of the other.
- (x + 3) x 3 = 2 x 6 =
- 3x + 9 = 12
- Now, combine like terms. Combine the constant terms, 9 and 12, by subtracting 9 from both sides.
- 3x + 9 - 9 = 12 - 9 =
- 3x = 3
- Isolate the variable, x, by dividing both sides by 3 and you've got your answer.
- 3x/3 = 3/3 =
- x =1
- (x + 3)/6 = 2/3
-
4Solve an algebraic expression with radical signs. If you're working with an algebraic expression with radical signs, all you have to do is find a way to square both sides so you can "get rid" of the radical sign and solve for the variable. Here's how you do it:[9]
- √(2x+9) - 5 = 0
- First, move everything that isn't under the radical sign to the other side of the equation:
- √(2x+9) = 5
- Then, square both sides to remove the radical:
- (√(2x+9))2 = 52 =
- 2x + 9 = 25
- Now, solve the equation as you normally would by combining the constants and isolating the variable:
- 2x = 25 - 9 =
- 2x = 16
- x = 8
- √(2x+9) - 5 = 0
-
5Solve an algebraic expression that contains absolute value. The absolute value of a number represents its value regardless of whether it is positive or negative; the absolute value is always positive. So, for example, the absolute value of -3 (also known as |3|), is simply 3. To find the absolute value, you have to isolate the absolute value and then solve for x twice, solving both for x with the absolute value simply removed, and for x when the terms on the other side of the equals sign have changed their signs from positive to negative and vice versa. Here's how to do it:[10]
- Here's how you solve for the absolute value by isolating the absolute value and then removing it:
- |4x +2| - 6 = 8 =
- |4x +2| = 8 + 6 =
- |4x +2| = 14 =
- 4x + 2 = 14 =
- 4x = 12
- x = 3
- Now, solve again by flipping the sign of the term on the other side of the equation after you've isolated the absolute value:
- |4x +2| = 14 =
- 4x + 2 = -14
- 4x = -14 -2
- 4x = -16
- 4x/4 = -16/4 =
- x = -4
- Now, just state both answers: x = -4, 3
- Here's how you solve for the absolute value by isolating the absolute value and then removing it:
Community Q&A
-
QuestionWhat should I do if the expression is a fraction, such as x/7 - 8 = -10?
DonaganTop AnswererIn your example, add 8 to both sides of the equation, then multiply both sides by 7. -
QuestionWhat is the advantage of algebraic expressions?
DonaganTop AnswererAlgebraic expressions are a quick way to represent somewhat complicated situations that may occur in real life. They are a "shorthand" approach to tangible problems that might arise. -
QuestionThree times a number minus 5 is equal to five times the same number minus 15. What's the number?
DonaganTop AnswererLet x be the number. Then 3x - 5 = 5x - 15. Add 15 to both sides: 3x + 10 = 5x. Subtract 3x from both sides: 10 = 2x. Divide both sides by 2: 5 = x.
References
- ↑ https://www.math4texas.org/Page/527
- ↑ https://www.khanacademy.org/math/cc-sixth-grade-math/cc-6th-expressions-and-variables/cc-6th-combining-like-terms/v/combining-like-terms-2
- ↑ https://www.mathsisfun.com/algebra/factoring.html
- ↑ https://www.mathsisfun.com/operation-order-pemdas.html
- ↑ https://sciencing.com/tips-for-solving-algebraic-equations-13712207.html
- ↑ https://www.mathsisfun.com/algebra/equations-solving.html
- ↑ http://tutorial.math.lamar.edu/Classes/Alg/SolveExpEqns.aspx
- ↑ https://www.mathsisfun.com/algebra/fractions-algebra.html
- ↑ https://math.libretexts.org/Courses/Coastline_College/Math_C045%3A_Beginning_and_Intermediate_Algebra_(Chau_Duc_Tran)/10%3A_Roots_and_Radicals/10.07%3A_Solve_Radical_Equations
About This Article
If you want to solve an algebraic expression, first understand that expressions, unlike equations, are mathematical phrase that can contain numbers and/or variables but cannot be solved. For example, 4x + 2 is an expression. To reduce the expression, combine like terms, for example everything with the same variable. After you've done that, factor numbers by finding the lowest common denominator. Then, use the order of operations, which is known by the acronym PEMDAS, to reduce or solve the problem. To learn how to solve algebraic equations, keep scrolling!



























































