Metal dithiolene complex
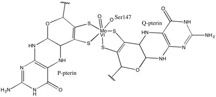
Dithiolene metal complexes are complexes containing 1,2-dithiolene ligands. 1,2-Dithiolene ligands, a particular case of 1,2-dichalcogenolene species along with 1,2-diselenolene[1] derivatives,[2] are unsaturated bidentate ligand wherein the two donor atoms are sulfur. 1,2-Dithiolene metal complexes are often referred to as "metal dithiolenes", "metallodithiolenes" or "dithiolene complexes".[3] Most molybdenum- and tungsten-containing proteins have dithiolene-like moieties at their active sites, which feature the so-called molybdopterin cofactor bound to the Mo or W.[4]
3.png.webp)
Dithiolene metal complexes have been studied since the 1960s when they were first popularized by Gerhard N. Schrauzer and Volker P. Mayweg, who prepared nickel bis(stilbene-1,2-dithiolate) (Ni(S2C2Ph2)2) by the reaction of nickel sulfide and diphenylacetylene.[5] The structural, spectroscopic, and electrochemical properties of many related complexes have been described.
Structure
Dithiolene metal complexes can be found in coordination compounds where the metal centre is coordinated by one, two, or three dithiolene ligands. The tris(dithiolene) complexes were the first examples of trigonal prismatic geometry in coordination chemistry. One example is Mo(S2C2Ph2)3. Similar structures have been observed for several other metals.[6]
2Ni(mnt)2.jpg.webp)
Because of the unusual redox and intense optical properties of dithiolenes, the electronic structure of dithiolene complexes has been the subject of intense studies. 1,2-Dithiolene ligands can exist in three oxidation states: the dianionic "ene-1,2-dithiolate", the neutral "1,2-dithioketone," and a monoanionic radical intermediate between these two.[7] When the latter two are complexed to a metal centre, the oxidation state of the ligand (and therefore the metal centre) cannot be easily defined. Such ligands are therefore referred to as non-innocent. The substituents on the backbone of the dithiolene ligand, R and R', affect the properties of the resulting metal complex in the expected way. Long chains confer solubility in less polar solvents. Electron acceptors (e.g. cyanide CN−, acetate CH3CO−2) stabilize reduced and anionic complexes. Derivatives are known where the substituents are the same, symmetrical dithiolenes (R = R') are more common than unsymmetrical.
Due to their delocalized electronic structure, 1,2-dithiolene complexes undergo reversible redox reaction. When oxidized, dithiolene complexes have greater 1,2-dithioketone character. In reduced complexes, the ligand assumes more ene-1,2-dithiolate character. These descriptions are evaluated by examination of differences in C-C and C-S bond distances. The true structure lies somewhere between these resonance structures. Reflecting the impossibility to provide an unequivocal description of the structure, McCleverty introduced the term 'dithiolene' to give a general name for the ligand that does not specify a particular oxidation state. This suggestion was generally accepted, and 'dithiolene' is now a universally accepted term. Only more recently the radical nature of monoanionic 1,2-dithiolene ligands has been pointed out.[7] While few examples of authentic dithiolene radicals have been reported, diamagnetism in neutral bis(1,2-dithiolene) complexes of divalent transition metal ions should be considered as a consequence of a string antiferromagnetic coupling between the two radical ligands.
Applications and occurrence
1,2-Dithiolene metal complexes occur widely in nature in the form of the molybdopterin-bound Mo and W-containing enzymes.

1,2-Dithiolene complexes applications are numerous, and span from superconductivity, to linear and non linear optics, to biochemistry. Commercial applications of 1,2-dithiolene complexes are limited. A few dithiolene complexes have been commercialized as dyes in laser applications (Q-switching, mode-locking). 1,2-Dithiolene complexes have been discussed in the context of conductivity, magnetism, and nonlinear optics. It was proposed to use dithiolene metal complexes that bind unsaturated hydrocarbons at the sulfur centers for industrial olefin (alkene) purifications.[9] However, the complexities within such systems became later apparent, and it was argued that more research would be needed before using metal dithiolene complexes in alkene purifications may become practical.[10]
Preparation
From alkenedithiolates
Most dithiolene complexes are prepared by reaction of alkali metal salts of 1,2-alkenedithiolates with metal halides. A thiolate is the conjugate base of a thiol, so alkenedithiolate is, formally speaking, the conjugate base of an alkenedithiol. Common alkenedithiolates are 1,3-dithiole-2-thione-4,5-dithiolate[11] and maleonitriledithiolate (mnt2−):[12]
- Ni2+ + 2 (NC)2C2S2−2 → Ni[S2C2(CN)2]2−2
Some alkenedithiolates are generated in situ, often by complex organic reactions:
- cis-H2C2(SCH2Ph)2 + 4 Na → cis-H2C2(SNa)2 + 2 NaCH2Ph
Once generated, these anions are deployed as ligands:
- NiCl2 + 2 cis-H2C2(SNa)2 → Na2[Ni(S2C2H2)2] + 2 NaCl
Often the initially formed, electron-rich complex undergoes spontaneous air-oxidation:
- 2 [Ni(S2C2H2)2]2− + 4 H+ + O2 → 2 Ni(S2C2H2)2 + 2 H2O

From acyloins
An early and still powerful method for the synthesis of dithiolenes entails the reaction of α-hydroxyketones, acyloins, with P4S10 followed by hydrolysis and treatment of the mixture with metal salts. This method is used to prepare Ni[S2C2Ar2]2 (Ar = aryl).
From dithietes
Although 1,2-dithiones are rare and thus not useful precursors, their valence isomer, the 1,2-dithietes are occasionally used. One of the more common dithiete is the distillable (CF3)2C2S2. This electrophilic reagent oxidatively adds to many low valent metals to give bis- and tris(dithiolene) complexes.
- Mo(CO)6 + 3 (CF3)2C2S2 → [(CF3)2C2S2]3Mo + 6 CO
- Ni(CO)4 + 2 (CF3)2C2S2 → [(CF3)2C2S2]2Ni + 4 CO
By reactions of metal sulfides with alkynes
Species of the type Ni[S2C2Ar2]2 were first prepared by reactions of nickel sulfides with diphenylacetylene. More modern versions of this method entail the reaction of electrophilic acetylenes such as dimethyl acetylenedicarboxylate with well defined polysulfido complexes.
History and nomenclature
Early studies on dithiolene ligands, although not called by that name until the 1960s,[14]: 58 [15] focused on the quinoxaline-2,3-dithiolates and 3,4-toluenedithiolates, which form brightly colored precipitates with several metal centres. Such species were originally of interest in analytical chemistry. Dithiolenes lacking benzene backbones represented an important development of the area, especially maleonitrile-1,2-dithiolate ("mnt"), (NC)2C2S2−2, and ethylenedithiolene, H2C2S2−2.
References
- Pintus, Anna; Arca, Massimiliano (2022-08-01). "1,2-Diselenolene ligands and related metal complexes: Design, synthesis and applications". Coordination Chemistry Reviews. 464: 214444. doi:10.1016/j.ccr.2022.214444. hdl:11584/334569. ISSN 0010-8545. S2CID 248252909.
- Arca M, Aragoni MC, Pintus A (2013-07-25). "CHAPTER 11.3:1,2‐Dichalcogenolene Ligands and Related Metal Complexes". Handbook of Chalcogen Chemistry. Vol. 2. pp. 127–179. doi:10.1039/9781849737463-00127. ISBN 978-1-84973-624-4. Retrieved 2021-03-17.
- Karlin KD, Stiefel EI, eds. (2003). Progress in Inorganic Chemistry, Dithiolene Chemistry: Synthesis, Properties, and Applications. New York: Wiley-Interscience. ISBN 978-0-471-37829-7.
- Romão MJ, Archer M, Moura I, Moura JJ, LeGall J, Engh R, et al. (November 1995). "Crystal structure of the xanthine oxidase-related aldehyde oxido-reductase from D. gigas". Science. 270 (5239): 1170–6. Bibcode:1995Sci...270.1170R. doi:10.1126/science.270.5239.1170. PMID 7502041. S2CID 34922450.
- Schrauzer GN, Mayweg V (1962). "Reaction of Diphenylacetylene with Ni Sulfides". J. Am. Chem. Soc. 84: 3221. doi:10.1021/ja00875a061.
- Eisenberg R, Gray HB (1967). "Trigonal-prismatic coordination. Crystal and Molecular Structure of Tris (cis-1,2-diphenylethylene-1,2-dithiolato)vanadium". Inorg. Chem. 6 (10): 1844–9. doi:10.1021/ic50056a018.
- Aragoni MC, Caltagirone C, Lippolis V, Podda E, Slawin AM, Woollins JD, Pintus A, Arca M (December 2020). "Diradical Character of Neutral Heteroleptic Bis(1,2-dithiolene) Metal Complexes: Case Study of [Pd(Me2timdt)(mnt)] (Me2timdt = 1,3-Dimethyl-2,4,5-trithioxoimidazolidine; mnt2- = 1,2-Dicyano-1,2-ethylenedithiolate)". Inorganic Chemistry. 59 (23): 17385–17401. doi:10.1021/acs.inorgchem.0c02696. PMC 7735710. PMID 33185438.
- McEwan AG, Ridge JP, McDevitt CA, Hugenholtz P (2002). "The DMSO Reductase Family of Microbial Molybdenum Enzymes; Molecular Properties and Role in the Dissimilatory Reduction of Toxic Elements". Geomicrobiology Journal. 19 (1): 3–21. Bibcode:2002GmbJ...19....3M. doi:10.1080/014904502317246138. S2CID 85091949.
- Wang K, Stiefel EI (January 2001). "Toward separation and purification of olefins using dithiolene complexes: an electrochemical approach". Science. 291 (5501): 106–9. Bibcode:2001Sci...291..106W. doi:10.1126/science.291.5501.106. PMID 11141557.
- Harrison DJ, Nguyen N, Lough AJ, Fekl U (August 2006). "New insight into reactions of Ni(S2C2(CF3)2)2 with simple alkenes: alkene adduct versus dihydrodithiin product selectivity is controlled by [Ni(S2C2(CF3)2)2]- anion". Journal of the American Chemical Society. 128 (34): 11026–7. doi:10.1021/ja063030w. PMID 16925411.
- Dietzsch W, Strauch P, Hoyer E (1992). "Thio-oxalates: Their Ligand Properties and Coordination Chemistry". Coord. Chem. Rev. 121: 43–130. doi:10.1016/0010-8545(92)80065-Y.
- Holm RH, Davison A (1967). "Metal Complexes Derived from cis ‐1,2‐dicyano‐1,2‐ethylenedithiolate and Bis(Trifluoromethyl)‐1,2‐dithiete". Inorganic Syntheses. Vol. 10. pp. 8–26. doi:10.1002/9780470132418.ch3. ISBN 978-0-470-13241-8.
- Miller WK, Haltiwanger RC, VanDerveer MC, DuBois MR (1983). "Syntheses and structures of new molybdenum complexes with dithiobenzoate and dimercaptotoluene ligands. Structural Comparisons in a Series of Dithiolate-Bridged Dimers of Molybdenum(III)". Inorganic Chemistry. 22 (21): 2973–2979. doi:10.1021/ic00163a001.
- McCleverty J (1968). "Metal 1,2-Dithiolene and Related Complexes". Progress in Inorganic Chemistry. Vol. 10. pp. 49–221. doi:10.1002/9780470166116.ch2. ISBN 978-0-470-16611-6.
- Arca M, Aragoni MC (2007). "Chapter 12.3. 1,2-Dithiolene Ligands and Related Selenium and Tellurium Compounds". Handbook of Chalcogen Chemistry. pp. 797–830. doi:10.1039/9781847557575-00797. ISBN 978-0-85404-366-8.
