1

I'm trying to use Example 4 in Section 2.5 of Philip J. Davis's book Interpolation and Approximation (Dover 1975). The aim is to fix an error in an answer I posted last night. This gives the problem a certain urgency, otherwise I would struggle on until light dawns! (If I don't get anywhere with the book, I'll try to follow this answer by joriki instead.)

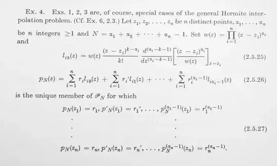
Davis (1975), Section 2.5, Example 4

I'll translate Davis's notation into the notation I'm using for the other problem, then specialise down to the case that's needed. This is almost a case of "simple" Hermite interpolation, except that for exactly one of the $n$ interpolation points, no derivative value is specified. (The derivative is zero at all the other $n - 1$ interpolation points, which ought to simplify things.)

Let $x_1, x_2, \ldots, x_n$ be distinct real numbers, $\alpha_1, \alpha_2, \ldots, \alpha_n$ positive integers, and $N = \alpha_1 + \alpha_2 + \cdots + \alpha_n - 1$. In the case of particular interest, there is a single index $i$ such that $\alpha_i = 1$ and $\alpha_j = 2$ for all $j \ne i$, so $N = 2n - 2$.

Deviating slightly more (still not harmfully, I hope) from Davis's notation, set: \begin{gather*} w_j(x) = \prod_{\substack{k=1\\k\ne j}}^n(x - x_k)^{\alpha_k} \quad (1 \leqslant j \leqslant n), \\ l_{jm}(x) = \frac{(x - x_j)^m}{m!}w_j(x)\frac{d^{(\alpha_j-m-1)}}{dx^{(\alpha_j-m-1)}}\left[\frac{1}{w_j(x)}\right]_{x=x_j} \quad (1 \leqslant j \leqslant n; \ 0 \leqslant m < \alpha_j), \\ p(x) = \sum_{j=1}^n\sum_{m=0}^{\alpha_j-1}r_j^{(m)}l_{jm}(x), \end{gather*} so that $p$ is a polynomial of degree $N$, constructed from $N + 1$ given real numbers $r_j^{(m)}$. The claim is: $$ p^{(m)}(x_j) = r_j^{(m)} \quad (1 \leqslant j \leqslant n; \ 0 \leqslant m < \alpha_j). $$ This is clearly equivalent to: $$ l_{jm}^{(q)}(x_k) = \delta_{jk}\delta_{mq} \quad (1 \leqslant j, k \leqslant n; \ 0 \leqslant m, q < \alpha_j), $$ where $\delta$ is the Kronecker delta.

In our special problem, $r_{j}^{(1)} = 0$ for all $j \ne i$ (and $r_i^{(1)}$ isn't defined).

Making matters even simpler, we have $r_j^{(0)} = 1$ for all $j \leqslant i$, and $r_j^{(0)} = 0$ for all $j > i$. Therefore: $$ p(x) = l_{10}(x) + l_{20}(x) + \ldots + l_{i-1,0}(x) + l_{i0}(x). $$ The last term in this sum, at least, presents no problem: $$ l_{i0}(x) = w_i(x)\frac{d^{(0)}}{dx^{(0)}}\left[\frac{1}{w_i(x)}\right]_{x=x_i} = \frac{w_i(x)}{w_i(x_i)} = \prod_{\substack{j=1\\j\ne i}}^n\left(\frac{x-x_j}{x_i-x_j}\right)^2. $$ This only has to satisfy $l_{i0}(x_j) = \delta_{ij}$ ($1 \leqslant j \leqslant n$), and it does.

The reason I am posting this question is that I cannot understand why the terms for $j \ne i$: $$ l_{j0}(x) = w_j(x)\frac{d}{dx}\left[\frac{1}{w_j(x)}\right]_{x=x_j} $$ satisfy the conditions $l_{j0}(x_k) = \delta_{jk}$ ($1 \leqslant k \leqslant n$). This does not seem evident from the definition, nor does it become any more evident when I write out the form of $l_{j0}(x)$ in the special case at hand.

In the present problem: $$ w_j(x) = (x - x_i)\prod_{\substack{k=1\\k\ne i,j}}^n(x - x_k)^2 \quad (j \ne i). $$ But it seems clearer to describe the problem in the general case, because there we have simply: $$ l_{j0}(x) = w_j(x)\left[-\frac{w_j'(x)}{w_j(x)^2}\right]_{x=x_j} = -\frac{w_j'(x_j)}{w_j(x_j)}\frac{w_j(x)}{w_j(x_j)}, $$ therefore: $$ l_{j0}(x_j) = -\frac{w_j'(x_j)}{w_j(x_j)}, $$ and this is not always equal to $1$. (We do, however, have $l_{j0}(x_k) = 0$ for all $k \ne j$.)

I expect my mistake is equally simple, but what is it?

1 Answers1

1

This is an answer in the sense that it solves the problem of Hermite interpolation in the special case described (indeed in a slightly more general case); so it satisfies the immediate need that provoked the question; but the question must still be regarded as open, because I still don't know what went wrong with my attempt to apply a published formula for general Hermite interpolation.

So-called "simple" Hermite interpolation, also known as "osculatory" interpolation, is the case where $\alpha_k = 2$ for all $k$. My problem is more general in that respect, but it is simplified by the specified values of the derivative all being zero.

Let $K$ be a non-empty finite set of indices, partitioned into a set $I$ of indices $i$ for which only a function value $y_i$ is specified, and a complementary set $J$ of indices $j$ for which both $y_j$ and the derivative value of $0$ are specified. In the case of most interest, $I$ is a singleton set, $\{i\}$, and $J = \{1, 2, \ldots, i - 1, i + 1, \ldots, n\}$, but this does not simplify the problem.

Making the problem slightly more general, in this way, suggests a heuristic argument (it might even be turned into a valid deduction by the application of a bit of topology and some elbow grease, but I doubt if it's worth it), which is sketched below, and leads to these formulae, which are easily shown to have the required properties (and thus stand independently of their dubious derivation): \begin{gather*} w_k(x) = \!\! \prod_{i\in I\setminus\{k\}}(x - x_i) \cdot \!\!\! \prod_{j\in J\setminus\{k\}}(x - x_j)^2 \ \ (k \in K); \quad v_k(x) = \frac{1}{w_k(x)} \ \ (k \in K); \\ l_i(x) = v_i(x_i)w_i(x) \ \ (i \in I); \quad l_j(x) = (v_j'(x_j)(x - x_j) + v_j(x_j))w_j(x) \ \ (j \in J). \end{gather*} It is "clear" (see next paragraph for a proof of the second claim!) that $l_k(x_m) = \delta_{km}$ ($k, m \in K$) and $l_k'(x_j) = 0$ ($k \in K$, $j \in J$). Therefore, the polynomial $$ p(x) = \sum_{k \in K}y_kl_k(x), $$ of degree at most $\lvert{K}\rvert + \lvert{J}\rvert - 1$, satisfies $p(x_k) = y_k$ ($k \in K$) and $p'(x_j) = 0$ ($j \in J$), as required. $\square$

On second thoughts, it was lazy of me to claim without proof that it is "clear" that $l_k'(x_j) = 0$ ($k \in K$, $j \in J$). First, for all $k \in K$, the polynomial $l_k(x)$ has a factor $(x - x_j)^2$ for each $j \in J \setminus\{k\}$, so we have $l_k'(x_j) = 0$ if $j \ne k$. It remains to prove $l_j'(x_j) = 0$ ($j \in J$). Perversely rewriting $w_j(x)$ as $1/v_j(x)$, and differentiating the resulting quotient expression, we get: $$ l_j'(x) = \frac{v_j'(x_j)v_j(x) - (v_j'(x_j)(x - x_j) + v_j(x_j))v_j'(x)}{v_j(x)^2}, $$ and now it really is clear that $l_j'(x_j) = 0$. $\square$

The (dispensable!) heuristic argument which suggested the above formulae imagines an iterative process, which starts with Lagrangian interpolation, and at each successive stage, takes an instance of the problem in which two indices $r, s \in I$ share a common function value $y_r = y_s = y$, so that $p(x)$ contains the term $y(l_r(x) + l_s(x))$, and the two interpolation points $x_r$ and $x_s$ "approach" one another, becoming "in the limit" a "double point", at which the derivative of $p$ must be zero.

The indices $r$ and $s$ are then also merged into one, they are transferred from $I$ to $J$, and the process repeats.

It is assumed, using somewhat circular reasoning, that the only effect of such a merging of two points on the functions $l_k(x)$ for points $x_k$ that are not being merged is to replace the product $(x - x_r)(x - x_s)$ with a squared factor $(x - x_r)^2$. This leads to the stated form of $l_i(x)$ for $i \in I$.

Assuming this form for $l_r(x)$ and $l_s(x)$, then, we have a term in $p(x)$ which is a scalar multiple of $l_r(x) + l_s(x)$. Let $t$ be the new index that will be adjoined to $J$ at the same time as the indices $r$ and $s$ are deleted from $I$. Write $x_t = x_s$, and (using the current denotations of $I$ and $J$, of course!): $$ w_t(x) = \!\! \prod_{i\in I\setminus\{r, s\}}(x - x_i) \cdot \prod_{j\in J}(x - x_j)^2; \quad v_t(x) = \frac{1}{w_t(x)}. $$ Then: \begin{align*} l_r(x) + l_s(x) & = \frac{x - x_s}{x_r - x_s} \cdot \frac{w_t(x)}{w_t(x_r)} + \frac{x - x_r}{x_s - x_r} \cdot \frac{w_t(x)}{w_t(x_s)} \\ & = \frac{x - x_s}{x_r - x_s}\left( \frac{w_t(x)}{w_t(x_r)} - \frac{w_t(x)}{w_t(x_s)} \right) + \left( \frac{x - x_s}{x_r - x_s} + \frac{x - x_r}{x_s - x_r} \right)\frac{w_t(x)}{w_t(x_s)} \\ & = \frac{v_t(x_r) - v_t(x_t)}{x_r - x_t}(x - x_t)w_t(x) + v_t(x_t)w_t(x) \\ & \to (v_t'(x_t)(x - x_t) + v_t(x_t))w_t(x) \text{ as } x_r \to x_t. \end{align*} This is what suggests the stated form of $l_j(x)$, for $j \in J$. $\square$? :)

Although it's not enlightening, I end by giving the explicit algebraic formula: $$ l_j(x) = (1 - A_j(x - x_j)) \cdot \prod_{i\in I}\left(\frac{x - x_i}{x_j - x_i}\right) \cdot \!\!\!\! \prod_{k\in J\setminus\{j\}} \left(\frac{x - x_k}{x_j - x_k}\right)^2, $$ where $$ A_j = \frac{w_j'(x_j)}{w_j(x_j)} = \sum_{i\in I}\frac{1}{x_j - x_i} + 2 \!\!\!\sum_{k\in J\setminus\{j\}}\frac{1}{x_j - x_k} \quad (j \in J). $$