I've got two variables A and B with ≤ following a Poi(), resp. Poi() distribution.
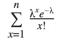
Given values a1 and b1 we can figure out if these particular values are significantly decreased by calculating the probability of getting a1 and b2 or lower number:
where n=a and n=b, = and = b accordingly for each variable.
If the probability of getting a1(or b1) or lower value <5% threshold we can say that this particular value significantly decreased.
My question is how can we figure out the answer to the same question for variable C := A/B (so it is between 0 and 1). If we have got the value of c1 = a1/b2 then how do we know if c1 significantly decreased?

