This is a follow up question to
plot: option plotstyle: start with second color in standard rotation
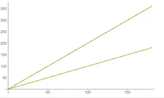
I want the mesh points to have the same color as in PlotStyle or the points to not appear at all. Simple example that reproduces the issue
Plot[{t, 2 t}, {t, 0, 180}, PlotPoints -> 20, MaxRecursion -> 0, Mesh -> All,
MeshStyle -> Rest[ColorData[97, "ColorList"]],
PlotStyle -> Rest[ColorData[97, "ColorList"]]]
I feel this not a duplicate to this question
Different MeshStyle for different functions
as the goal of that question is not to match mesh and plot style.




MeshStyleto color each function separately. – Kuba Apr 14 '16 at 12:19