I have the following problem from a textbook I am trying to integrate:

So, following the directions in text, I am required to integrate each function. However, I cannot get Mathematica to integrate the first function. Here is my code:
Z1 := E^-x^2*Cos[x^2 + y^2]
Z2 := 2 - x^2 - y^2
Plot3D[{Z1, Z2}, {x, -1, 1}, {y, -1, 1}, AspectRatio -> 1, ViewPoint -> {4, 1, 1}]
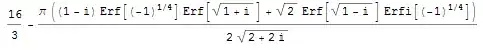
Integrate[Z2, {y, -1, 1}, {x, -1, 1}] - Integrate[Z1, {y, -1, 1}, {x, -1, 1}]
They plot OK:

but give me really strange output:

Could someone please explain how I can overcome this? Wolfram|Alpha can evaluate it without (much) trouble.
Thank you for your time.