How to plot and find the volume of the solid enclosed between the paraboloid z=5(x^2+y^2) and z=6-7x^2-y^2
And the answer of the volume is 3Pi/(2)^1/2
How to plot and find the volume of the solid enclosed between the paraboloid z=5(x^2+y^2) and z=6-7x^2-y^2
And the answer of the volume is 3Pi/(2)^1/2
RegionPlot3D[ 5 (x^2 + y^2) < z < 6 - 7 x^2 - y^2, {x, -1, 1}, {y, -1, 1}, {z, -0, 6},
PlotStyle -> Orange, Mesh -> None, PlotPoints -> 50]

Integrate[ Boole[5 (x^2 + y^2) < z < 6 - 7 x^2 - y^2], {x, -1, 1}, {y, -1, 1}, {z, 0, 6}]
(*
(3 π)/Sqrt[2]
*)
Plot3D[{5 (x^2 + y^2), 6 - 7 x^2 - y^2}, {x, -1, 1}, {y, -1, 1},
RegionFunction -> Function[{x, y}, 5 (x^2 + y^2) < 6 - 7 x^2 - y^2]]

Integrate[(6 - 7 x^2 - y^2 - 5 (x^2 + y^2)) UnitStep[(6 - 7 x^2 - y^2 - 5 (x^2 + y^2))],
{x, -10, 10}, {y, -10, 10}]
(3 π)/Sqrt[2]
Edit
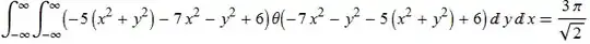
Since working with the UnitStep function (rather unexpectedly) doesn't appear the most efficient approach we provide here a bit different but more obvious way exploiting HeavisideTheta.
Defer @
Integrate[(6 - 7 x^2 - y^2 - 5 (x^2 + y^2)) HeavisideTheta[(6 - 7 x^2 - y^2 - 5 (x^2 + y^2))],
{x, -∞, ∞}, {y, -∞, ∞}] ==
Integrate[# HeavisideTheta[#] &[(6 - 7 x^2 - y^2 - 5 (x^2 + y^2))],
{x, -∞, ∞}, {y, -∞, ∞}] // TraditionalForm

This is a faster and more elegant way than belisarius' approach in Mathematica 8 and 9
Integrate[ Boole[5 (x^2 + y^2) < z < 6 - 7 x^2 - y^2], {x, -1, 1}, {y, -1, 1}, {z, 0, 6}]//
AbsoluteTiming // First
2.228000
Integrate[ # HeavisideTheta[#] &[(6 - 7 x^2 - y^2 - 5 (x^2 + y^2))],
{x, -∞, ∞}, {y, -∞, ∞}] // AbsoluteTiming // First
0.245000
Warning: In Mathematica 7 there was a bug and the HeavisideTheta approach yielded an incorrect result, therefore we had to deal with UnitStep or Boole approaches.
Integrate code appears cleaner and faster however. (If I'm wrong tell me.)
– Mr.Wizard
Dec 20 '13 at 14:23
Mathematica 7 only.
– Artes
Dec 20 '13 at 16:50
The projection of your solid down to the $xy$-plane is described by $$5(x^2+y^2) \leq 6-7x^2-y^2,$$ which simplifies to $$12x^2+6y^2 \leq 6.$$ This is an equation of a solid ellipse $E$ compressed by the factor $\sqrt{2}$ in the $x$-direction. The volume can be expressed as $$\iint\limits_E (6-(12x^2+6y^2)) \, dA.$$
A truly efficient way to evaluate this integral is to work in an elliptic coordinate system: $$x=r\cos(t)/\sqrt{2}, \; y=r\sin(t).$$ In this coordinate system, the function simplifies to $6-6r^2$ and the area element is $dA=(r/\sqrt{2})\, dr \, dt$. The area element is similar to the familiar $dA = r\,dr\,d\theta$ in polar coordinates, but accounts for the extra compression in the $x$-direction. The formula can also be derived using the Jacobian.
Using this coordinate system, the integral can now be expressed as $$\int_0^{2\pi} \int_0^1 (6-6r^2)r/\sqrt{2} \, dr\, dt = 3\pi/\sqrt{2},$$ which is quite easy to do by hand.
We can also use this point of view to make a nice image:
With[{x = r*Cos[t]/Sqrt[2], y = r*Sin[t]},
solid = ParametricPlot3D[{
{x, y, 5 (x^2 + y^2)},
{x, y, (6 - 7 x^2 - y^2)}
}, {r, 0, 1}, {t, 0, 2 Pi},
PlotStyle -> {Directive[Lighter[Blue]], Directive[Orange]}];
shell = ParametricPlot3D[{
{x, y, 5 (x^2 + y^2)},
{x, y, (6 - 7 x^2 - y^2)}
}, {r, 1, 2}, {t, 0, 2 Pi},
Mesh -> None,
PlotStyle -> Opacity[0.4]];
border = ParametricPlot3D[
{Cos[t]/Sqrt[2], Sin[t], 5 (Cos[t]^2/2 + Sin[t]^2)},
{t, 0, 2 Pi}, PlotStyle -> Directive[Thick, Black]]
];
Show[{solid, shell, border},
PlotRange -> {{-2, 2}, {-2, 2}, {-0.2, 6.2}}]

I guess this is too old school.
Solve[ 5 (x^2 + y^2) == 6 - 7 x^2 - y^2, x]
{{x -> -(Sqrt[1 - y^2]/Sqrt[2])}, {x -> Sqrt[1 - y^2]/Sqrt[2]}}
Integrate[(6 - 7 x^2 - y^2) - 5 (x^2 + y^2) ,
{y, -1, 1},
{x, -(Sqrt[1 - y^2]/Sqrt[2]), Sqrt[1 - y^2]/Sqrt[2]}]
(3 π)/Sqrt[2]
Thsn again if you need to show your work on your calculus homework this is how you do it.