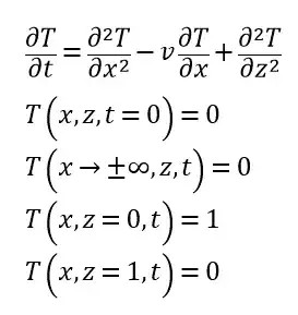
I am currently solving a 2D convection-conduction equation. The convection is only working on the x direction. The governing equation and its associated conditions are given as
where T is the temperature, x and z are the spatial distances, t is the time, and v is the velocity.
Firstly, I applied the Laplace transform method to eliminate t. These equations then become
where T with a bar represents the function in the Laplace domain and s denotes the Laplace parameter.
Later, I used the function called FourierTransform in MMA12 to transform the aforementioned equations to the Laplace-Fourier domain. The results are obtained as
in which T with the double bars represents the function in the Laplace-Fourier domain, a is the Fourier parameter, i is the imaginary unit, and is the dirac delta function.
After applying the DSolve function, I got this result
It can be observed that the convection term is disappeared (i.e., v = 0). Am I missing something here? Or is the convection term not important in this PDE? Thank you for the help.
The associated code I used to obtain the function in Fourier domain is
FourierTransform[T''[x], x, a]
gives
-a^2 FourierTransform[T[x], x, a]
The convection term with applying Fourier transform
FourierTransform[-v*T'[x], x, a]
gives
I a v FourierTransform[T[x], x, a]
and
FourierTransform[1/s, x, a]
gives
(Sqrt[2 \[Pi]] DiracDelta[a])/s
Applying the DSolve
DSolve[{s*T[z] == -a^2*T[z] + I a v*T[z] + T''[z],
T[0] == (Sqrt[2 \[Pi]] DiracDelta[a])/s, T[1] == 0}, {T[z]},
z] // Simplify
one gives
T[z] -> (E^(-Sqrt[s] z) (E^(2 Sqrt[s]) - E^(2 Sqrt[s] z)) Sqrt[
2 \[Pi]] DiracDelta[a])/((-1 + E^(2 Sqrt[s])) s)




DSolvein your final step. – CA Trevillian Aug 21 '19 at 04:42x=0andx=1should bez=0andz=1, according to the code. – xzczd Aug 21 '19 at 11:13v. Only functions that satisfy certain criterion can beFourierTransformed, which isn't satisfied by solution of PDE involving convective terms in many cases. Somewhat related: https://math.stackexchange.com/q/2084704/58219 – xzczd Aug 21 '19 at 11:21