Before proceeding to calculations in Mathematica, I would like to clarify with knowledgeable people.
There is an ordinary linear three-mass system.
If we write its Lagrangian, we get the following equation.
where $W_k$ and $W_n$ - kinetic and potential energy.
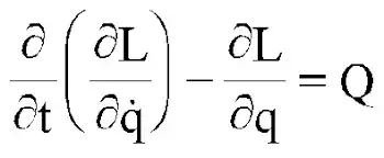
To find the moment of rotation of the first mass, we must differentiate lagrangian first by the angle of rotation of the first mass $\phi_1$, then find the rate of change in time of the Lagrangian derivative with respect to speed $\omega_1$.
Suppose we want to find the moment of the first mass $J_1$ (we assume that on the shaft of the drive motor).
$\frac{\partial L}{\partial q} = \frac{\partial L}{\partial \phi_1} = -c_{12} (\phi_1 - \phi_2)$
$\frac{d}{dt}\frac{\partial L}{\partial \dot{q}} = \frac{d}{dt}\frac{\partial L}{\partial \omega_1} = J_1 \frac{\partial \omega_1}{\partial t}$
Which ultimately gives us a dynamic equation:
$M - c_{12} (\phi_1 - \phi_2) = J_1 \frac{\partial \omega_1}{\partial t}$
My questions are as follows:
Where did the masses of $J_2$ and $J_3$ go? Because we are looking for a derivative and speeds of this masses $\omega_2$ and $\omega_3$ do not explicitly depend on $\omega_1$, no matter how massive they are, they do not include into the equation of motion and do not affect the torque M.
Do I understand correctly that taking into account the influence of the moments of inertia of the remaining masses $J_2$ and $J_3$ is possible only by bringing the moments of inertia to the motor shaft $J_1$ (by correcting the coefficients of the square of the gear ration).
What tools are there in Mathematica for working with mechanical systems, equations of motion, etc.?







