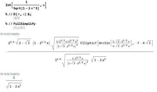
While the function x Hypergeometric2F1[1/3, 1/2, 4/3, 2 x^3] can be obtained by integration of the integrand $\frac{1}{\sqrt{1-2x^3}}$ in Mathematica 12 as observed by Bob Hanlon, it cannot be obtained in Mathematica 11.2 and earlier versions, even though D[x Hypergeometric2F1[1/3, 1/2, 4/3, 2 x^3],x] yields $\frac{1}{\sqrt{1-2x^3}}$ also in version 11.2. On the other hand J.M. observed that the integral can be expressed in terms of the elliptic integrals. This integral can be simply reformulated by the definition of the Weierstras elliptic function (see e.g. Integrate yields complex value, while after variable transformation the result is real. Bug?)
Recalling the linked post one can write (mind appropriate limits of integration and constants which can be complex in general):
$$
\int \frac{1}{\sqrt{1-2 x^3}} \, dx = \int_{\infty}^{x} \frac{i \sqrt{2}}{\sqrt{4 t^3-2}}\,dt=i \sqrt{2}\; \wp^{-1}(x;0,2)
$$
where $\wp$ in the Weierstrass elliptic function, while $\wp^{-1}$ is its inverse function implemented in the Wolfram Language as InverseWeierstrassP. This formula can be used only in appropriate regions of the real axis or the complex plane, as well as that given by x Hypergeometric2F1[1/3, 1/2, 4/3, 2 x^3] and the proper regions are different for the both expressions, signalizing that thay can be used in different cases. However as observed elsewhere (see e.g. answers to this question) the ellliptic integrals and functions where implemented in a suboptimal way at least until version 11.2 and and to demonstrate symbolically
$$\frac{1}{\sqrt{1-2 x^3}}=i \sqrt{2}\; \frac{d}{dx}\wp^{-1}(x;0,2)$$
is difficult at least before version 12. Nonetheless we can do e.g.
FullSimplify[D[I Sqrt[2] InverseWeierstrassP[x, {0, 2}], x]]
(I Sqrt[2])/WeierstrassPPrime[InverseWeierstrassP[x, {0, 2}], {0, 2}]
i.e. acting with TraditionalForm yields $$\frac{1}{\sqrt{1-2 x^3}}=i \sqrt{2}\; \frac{d}{dx}\wp^{-1}(x;0,2)= \frac{i \sqrt{2}}{\wp'(\wp^{-1}(x;0,2);0,2)}=f(x)$$
we can also demonstrate this equality for numbers such that $1-2x^3>0$, e.g. define
f[x_] := (I Sqrt[2])/ WeierstrassPPrime[InverseWeierstrassP[x, {0, 2}], {0, 2}]
And @@ Table[
FullSimplify[f[x] == 1/Sqrt[1 - 2 x^3]],
{x, {2/3, 3/5, 13/20, 13/19, 5/7, 7/12, 15/23, 1/Sqrt[2],
1/Sqrt[3], 1/Pi, 1/E, Sqrt[3]/Pi}}]
True
and plot the both functions, one is shifted by $1/20$ for a better presentation
Plot[{f[x], 1/Sqrt[1 - 2 x^3] - 1/20}, {x, -1, 1}, AxesOrigin -> {0, 0}]

This demonstrates certain flavours of equality of the both functions and I hope it makes clear what can be done in Mathematica on the symbolic level.
InverseJacobiCN[(2 Sqrt[3])/(1 + Sqrt[3] - x 2^(1/3)) - 1, (2 + Sqrt[3])/4]/(2^(1/3) 3^(1/4))– J. M.'s missing motivation Jan 30 '20 at 08:27